BME 456: Biosolid Mechanics: Modeling and Applications
Section 1: Mathematical Preliminaries -
Index Notation, Vectors, and Tensors
I. Overview
The constitutive equations used to model biological tissues are invariably written in mathematical shorthand known as index notation. The fundamental concepts in continuum mechanics are invariably written in this index notation. This means that all stress, strain, and constitutive relationships are written in index notation. This means that a good grasp of index notation, no matter how dry, is essentialy to better understanding to subsequent material. Failure to understand these concepts will lead to an uphill battle in understanding the rest of the course. By the end of this section, you should be able to:
1. Be able to write equations and perform calculations based on index notation
2. Understand the concepts of vectors and tensors
3. Be able to perform vector calculations using index notation
4. Be able to perform tensor calculations using index notation
II. Vectors and Index Notation
Index notation was developed by Albert Einstein as a shorthand for writing complex mathematical equations. With the development of tensor analysis in mechanics, index notation has become indispensable. Although it may look like complex hieroglyphs, it actually becomes a very compact and succinct manner in which to write complex concepts. We need to introduce index notation for our basis for studying continuum mechanics because it is an accepted notation for all continuum mechanics texts and has naturally carried over into biosolid mechanics. Understanding index notation in reference to continuum mechanics is analogous to understanding a foreign language when visiting a culture in which that language is spoken. Although you can visit the culture and perhaps even get around OK, to really understand the culture and communicate ideas with its inhabitants, you must understand the language. So it is with continuum mechanics, although we may understand intuitively the physical concepts, being able to work with these concepts requires the ability to speak the language, that is, understand index notation.
To begin our study of index notation, we note that all quantities in mechanics have spatial orientations, for example, vectors have an orientation in three-dimensional (3D) space. The usefullness of index notation is that it allows us to track the orientation of quantities in 3D space like coodinates and displacements with very concise notation, all the while giving us a full understanding (assuming that we understand index notation) of what is going on. Let us first consider a basis for the commonly used Cartesian coordinate system. The basis or unit vectors for this system we will denote as e1, e2, and e3. This orthonormal coordinate system is shown below:
Each unit vector in the orthonormal coordinate system may be written as:
II.A Dot Products of Vectors
The coordinate system is denoted as an orthonormal system because the dot product of one unit vector with itself gives a value of one, while the dot product of one unit vector with another unit vector will give a value of zero, since all the unit vectors in this system are at 90 degrees to one another. This results can be written as:
With this orthonormal basis coordinate system, we can then write any arbitrary vector as a linear combination of the basis vectors e1, e2, and e3, with the each component of the vector u in the e1, e2 and e3 direction as shown below:
![]()
Note that if we attach a subscript i to each of the vector components, then we may write the arbitrary vector u as the summation of ui and ei as:

Now, if we agree to the index notation rule that whereever we see the same index twice, or in other words repeated, we understand that we are automatically supposed to sum over the range of that index. The range of an index is simply the spatial dimension in which we are working. Thus, if we are working in 3D the range of i is 3, while if we are working in 2D the range of i is 2. We can therefore write the expression for an arbitrary vector using the summation over repeated indices as:
![]()
This establishes the first rule of index notation:
Index Notation Rule #1: Whenever an index is repeated, i.e. is seen twice for a given entity, this signals that we should sum over the range of that index. The number of entities to be summed is equal to the number of to the dimension raised to the power of the number of repeated indices. Denote q as the number of summed entities, n as the number of repeated indices, and d as the dimension of space in which we are working (d = 2 for 2D, d = 3 for 3D), then we have
![]()
__________________________________________________________________________________________
Example 1.1:
Let us apply the above index rule to the representation of vectors in two and three dimenions. First, if we write an arbitrary vector in 3D, we have the same expression for u as above:
![]()
If we apply index notation rule 1 for 3D, then we have the number of summed terms is equal to 3:
![]()
For 2D, we have the expression of an arbitrary vector u as:
![]()
The if we apply index notation rule 1 for 2D we have the number of summed terms is equal to 2:
![]()
__________________________________________________________________________________________
Now let us consider writing the dot product between two of the orthonormal basis vectors that we have written above in a more compact form using index notation. We can write the dot product simply as:
Note in this case that no indices are repeated. Also, it is very important to note that the above equation actually represents the dot product between three different orthonormal vectors, taken between each other in combinations of three. The question becomes, what is an entity in which the index is not repeated? The first thing we note from the dot product equation above is that the dot product does not represent a single entity, but rather a series of equations. Thus, we know for 3D that the index notation representation of the dot product really represents nine equations. We can then introduce an entity d that represents each of these nine equations, which allows us to write the dot product equation in index notation as:
We have introduced a new symbol, d. This is actually call the Kronecker delta and represents a second order tensor, that is equivalent to the identity matrix. We will discuss the idea of tensors in more detail in the next section. For now, we introduce the second rule of index notation regarding free, or non-repeated indices:
Index Notation Rule #2: The number of independent indices indicates the number of quantities in a given entity. Independent means that the index occurs only once and is not repeated. The number of quantities, denoted as p, is equal to the dimension of the space in which we are working (d = 2 for 2D, d = 3 for 3D) raised to the power of the number of independent indices. Thus we have:
![]()
__________________________________________________________________________________________
Example 1.2:
Let us apply the above index rule #2 to determine the number of entities for the Kronkecker delta in 2D and 3D from the dot product of the orthonormal vectors given above. For 3D we have the following representation for d:
Giving nine independent indices for the Kronecker delta in 3D. If we apply the index rule #2 we have the dimension as 3 and the number of independent indices as 2, giving:
![]()
which agrees with the matrix representation.
For 2D we have:
For 2D the dimension is obviously 2 and the number of independent indices is also 2, giving:
![]()
which again agrees with the matrix representation
________________________________________________________________________________________________
Once we understand the basic two rules of index notation, we can begin to use index notation to perform some basic operations on vectors, most notably projections, dot products and cross products. Let us first consider the projection of the vector u on one of the orthonormal axes. For an example, let us take the projection of u along e1. This projection, the dot product of u with e1 can be written explicitly using the commutative property of the dot product as:

Now let us consider the same projection in another way, where we group the dot product of the orthonormal vectors:
![]()
Recalling that the dot product of orthonormal vectors gives the Kronecker delta, we get the first row of the Kronecker delta from the above expression:

which again gives the result of the projection as the component u1 along the orthonormal axis e1. Now, examining the above expression with the index notation, we see that essentially when the vector is summed with the Kronecker delta, the index that is repeated on the entity is replace with the free index on the Kronecker delta. Thus, when we apply the Kronecker dij to any vector we get the following directly:
![]()
Another important operation with vectors is the dot product. The explicit definition of the dot product between two vectors u and v is:
![]()
We can rewrite the above expression using the orthonormal basis vectors as:
Recalling that any entity multiplied by the Kronecker delta will have its index exchanged with the free index of the Kronecker delta, we obtain:
![]()
Finally, given that repeated indices represent a sum over those indices, we realize that the dot product is a scalar that is the sum of each component of one vector multiplied by the same component of the second vector:
![]()
We can also use the same approach to calculate the square of the length of a vector:

We note that the dot product of two vectors always produces a scalar.
II.B Cross Product of Vectors
A second common operation performed with vectors is the cross product. You may recal that will the dot product produces the length of a project of one vector upon another, the magnitude of the cross product is the area formed by a paralleogram between two vectors. The simplest way to envision the cross product is using a graphical method. Let's take the cross product of the vectors u and v, written as u x v. We first write a three row, for a 3D vector, matrix containing the unit vector with components i, j, and k, followed by the components of u and v:

We then add two additional columns, the i and j columns, to the above matrix giving:
Noting that the cross product of two vectors creates a third vector, we can compute the i,j and k components of the new vector by drawing a diagonal line down indicating a positive product and a diagonal line up indicating a negative product for each component. Thus, for the i component, we have:
Thus, for the i component of the cross product vector we have:
![]()
Next, we follow the same procedure for the j component:

which gives:
![]()
Finally, for the k component we have:

which leads to:
![]()
This gives the final result using the graphical methods is obtained by adding the three components as:
Another approach to perform cross products using index notation can be developed using the cross products among the orthonormal basis vectors. Let us apply the above derived equation for the cross product. Let us first apply the formula to the cross product of the vector e1 and e2:

Likewise, if we look at the cross product of e2 and e2 we obtain:

If we perform all nine possible cross products with the orthonormal vectors e1, e2, and e3 we will obtain the following results:
Examining the above results, we can see that whenever there is a cross product between an orthonormal vector and itself, the result is zero. We define a circular arrangement of the indices 1,2 and 3, and define clockwise around the circle as positive and counterclockwise around the circle as negative:
This means that the product of 1 cross 2 is a positive 3, the product of 2 cross 3 is a positive 1 and the product of 3 cross 1 is a positive 2 going clockwise. The product of 2 cross 1 is a negative 3, the product of 1 cross 3 is a negative 2 and the product of 3 cross 2 is a negative 1.
Using index notation, the same cross product operations can be performed using a special tensor called the permutation, alternating or Levi-Civita tensor, eijk. The permutation tensor has the following values:

An even permutation corresponds to going clockwise around the circle diagram above, and an odd permutation corresponds to going counterclockwise around the circle diagram above. Use of the permutation tensor to compute a vector cross product is shown below in Example 1.3
__________________________________________________________________________________________
Example 1.3: Using the permutation tensor to calculate a vector cross product
Consider the cross product of two vectors u and v that gives a third vector w. Using index notation and base vectors we may write the cross product of u and v as:
We know that the that cross product of the basis vectors may be written using the permutation tensor as:
![]()
to see the above result, consider some examples and compare them to the results we obtained by directly writing the cross product of the base vectors:

Note the any choice for k, except for k = 3, will result in the permutation tensor being zero, due to a repeat of either the i or j index. That is why only k = 3 is shown.
We can then write the general cross product as:
![]()
Note that the i,j, and k indices must all have different values if the result is to be non-zero. Let us first take the case of i - 1, j=2 and k=3. In this case, since the permutation of i,j and k is even, that is clockwise around the permutation circle.
![]()
Note that we can keep k = 3, and set i = 2 and j = 1 to still obtain a non-zero entity. Since in this case i,j,k being 2,1,3 form an odd permutation, we get a minus sign associated with the final quantity:
![]()
Since k = 3, this is the third component of the vector w formed from the cross, we need to add the components for i = 1, j = 2 and i = 2, j = 1, together. This gives us:
![]()
Having seen this example, try writing the results for w1 and w2 using the permutation tensor.
________________________________________________________________________________________________
The ability to calculate vector dot and cross products is especially useful in continuum mechanics for calculating areas and volumes. This will be especially important when we consider nonlinear large deformation of soft tissues, because we will need to calculate the areas and volumes for defining quantities in initial and current deformed configurations.
Consider the area represented by two vectors. Graphically, we can describe the area as:
where the yellow represents the area associated with the two vectors.
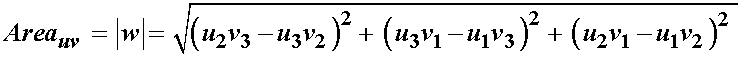
We can also calculate the area covered in yellow between the two vectors using the norm, or magnitude, of the cross product between the vectors. This can be written as:
![]()
where the | | symbol indicates the norm of the vector that results from the cross product. Basically, if we denote the resulting cross product vector as w, as we did in example 1.3, then the norm of this vector is obtained by simply squaring each vector component, adding the squares together, and taking the square root of the sum:

if we write this out explicitly in terms of the cross product components we obtain:
To test this idea out, let's consider two vectors in a plane with the following components:

The two vectors above represent one vector of length 1 rotated 45 degrees counterclockwise from the x axis (u) and one vector of length 1 rotated 45 degrees counterclockwise from the y axis, as illustrated below:

We know intuitively that since each vector has a length of one, that total area should be one. Let us now do the calculation using the cross product equation given above:

as expected, the calculation also gives an area of 1. Likewise, we can write the area represented using two vectors using index notation and the permutation tensor as:
![]()
Another very useful calculation that can actually be done using a combination of the cross product with the dot product is that of a volume. Consider the volume formed by the three vectors u, v, and w as shown below:
The area of the base of the volume can directly be written as u x v. We then need to only multiply the base area by the height represented by the vector w to obtain the volume in which we are interested. The volume can be written symbolically as:

Now let us write the above symbolic equation for volume in terms of index notation:
Note that all the indices are repeated, and that there are no independent indices. This means the following according to our index rule. First, since there are no repeated indices, this means that we raise the dimension to the 0th power, by index rule #2:

The number 1 indicates that the entity resulting from the operation produced by the indices will make a scalar. The number of summed quantitites for the scalar is equal to the dimension raised to the total number of repeated indices, which is in this case 3, according to index rule 1.

However, if we consider the permutation tensor, only six of the 27 quantities will be non-zero. That is, there are only six permutations of 1,2, and 3 that will not repeat, namely 123, 132, 213, 231, 321, 312. If we therefore permute i,j, and k through 1,2,3 as in the preceding sentence, we will get the following representation for a volume based on the index equation above:

We have now considered the representation of vectors using index notation and some of the main operations with vectors, namely dot and cross products, that are relevant to solid mechanics. Vectors are of course and integral feature of solid mechanics, being used to represent quantities like position, displacement, velocity and acceleration. However, there are other quantities like stress, strain, and stiffness that cannot be represented by vectors, but rather by tensors. Furthermore, there are operations on vectors that will actually produce tensors. The next section will provide a basic overview of tensors, what they represent and what mathematical operations may be performed using tensors.
III. Tensors
Tensors may be thought of mathematically as linear operators that act on either a vector or tensor to generate another vector or tensor. Physically, tensors represent a number of quantities in solid mechanics, most notably stress, strain and elasticity. Thus, it is very important to understand index representation of tensors and mathematical operations on tensors.
III. A General Index Representation of Tensors
Although scalars may be considered 0th order tensors, and vectors 1st order tensor, the lowest order entity generally described as a tensor is a second order tensor. A second order tensor in 3D has a total of nine quantities, a third order tensor in 3D has 27 quantities, a fourth order tensor has four indices and 81 quantities:

Again, we can calculate the number of independent indices represented by a given tensor by applying the second index rule, where the space dimension is raised to a power equal to the number of independent indices. Thus, we have for 2nd, 3rd, and 4th order tensors respectively:

Next, we consider the operation of a tensor on a vector or a tensor on a tensor and the entity which results. Let us consider first the operation of a second order tensor on a vector. One example found often in solid mechanics is the operation of the second order stress tensor s on the normal vector n to give the traction vector t (we will cover the physical insight of this operation in the chapter on stress). Let us first consider this as a matrix vector operation since we can write a second order tensor as a matrix and the vector obviously as a vector:

If we do the matrix-vector multiplication, we obtain the traction vector as follows:
Now, let's do the same operation using index notation only. The index equation may be written as:
On the left for the traction vector t we have one independent index. According to the index rule #2, this means that in 3D we will have the following number of independent quantities or equations:
![]()
Now, let's figure out how many summed terms will be in each equation. The number of summed terms will be equal, according to index rule #1, the dimension raised to the number of repeated indices. Since there is one repeated index in the equation for the traction vector, this means that each element of the traction vector will be the sum of three quantities:
![]()
These numbers, 3 for the number of independent equations and 3 for the number of summed terms in each equation, matches what we obtained using the matrix vector multiplication above.
So far, so good. We now actually write out the index equation to determine the elements of the equation. The index equation can be written like a do or for loop in a computer code, where the inner loop is the j index and the outer loop is the i index:
do i = 1,3 (outer loop, independent index)
sum = 0 (summation variable for repeated indices)
do j = 1,3 (inner loop, repeated index)
sum = sum + s(i,j)*n(j) (summing of terms that contain j)
enddo
t(i) = sum (final independent entity for index i)
enddo
Now, let us consider the same operation only through the indices. If we keep the index i constant, and sum over j, then the index equation for traction becomes:

Now, we substitute for i going through i = 1, i = 2, and i = 3:

This is exactly the same result we achieve as when we do the matrix-vector multiplication operation for the traction vector.
Finally, we look at a more complicated tensor product using 4th order and 2nd order tensors. This tenor product represents the stress-strain relationship using a constitutive equation that is a foundation of solid mechanics. This relationship will be a major subject throughout the term. In this case, the fourth order tensor Cijkl represents the elastic properties of the material, sij is the 2nd order stress tensor, and ekl is the 2nd order strain tensor. The fourth order tensor Cijkl effectively maps a given strain state into a stress state for a material. Cijkl are material properties, that in the case of biological tissues reflect the many proteins and other consitutents that make up the material. The stress-strain relationship is written in index notation as:
The above equation maps a second order tensor, the strain ekl, into another second order tensor, the stress sij using a fourth order tensor Cijkl which is also known as the constitutive tensor for the material because it characterizes the materials mechanical behavior. We will study this tensor extensively in this course as it is used to characterize the mechanical behavior of biological tissues and relate this behavior to the tissue morphology and structure.
In examining the indices in the stress-strain relationship above, we see that two indices, k and l, are repeated on the right hand side of the equation. If we apply the index rule #1 for repeated indices, we can see that each individual entry of the stress tensor in the above equation we be the sum of nine terms:
![]()
To demonstrate this, let us consider the 11 entry for the stress:

below each term on both the left and right hand sides are the values for the indices i,j,k and l. Note that i and j stay fixed at 1, since we are only specifying the 11 term of the stress s, and i and j are the independent indices. However, since k and l are the repeated indices, they are cyclically run from 1 through 3, with k set at 1 and l run from 1-3, then k set a 2 and l again run from 1-3, and finally k set at 3and l again run from 1-3. This is basically the same as the do loop analogy given earlier in these notes. If either i or j is changed on the left hand side, the corresponding i or j is changed on the right hand side.
To determine the number of independent terms, we apply index rule #2 and raise the dimension of the space to the power of the number of independent indices. This gives:
![]()
which verifies that in 3D, the stress tensor is a second order tensor.
III. B Dyadic Product of Vectors
One way to construct tensors is through the use of the dyadic, or tensor product. The dyadic product of the vectors u and v is written symbolically as:
![]()
Practically, the dyadic product above is carried out as the product of the first vector and the transpose of the second vector:
by vector multiplication we see that this gives a 3 x 3 matrix, or equivalently a 2nd order tensor. The same result may be obtained using index notation. Let us denote the tensor resulting from the dyadic product of u and v as A. Then we have:
Since there are two independent indices in the dyadic product, we can calculate the number of independent indices using index rule #2:

If we permute through the values of i = 1,2,3 and j = 1,2,3 for the index representation for the dyadic product given above, we obtain:

This result by index notation is the same as the result using vector multiplication.
Higher order tensors may also be written using dyadic products. For example, a third order tensor may be written as:
![]()
Similarly, a fourth order tensor may be written as:
![]()
and so on.
III C Mathematical Operations on Tensors
In the final part of the first section, we discuss mathematical operations that may be performed on tensors, including calculation of invariants and eigenvalues, transformation, and differentiation.
i. Transformation
Any entity above a 0th order tensor (e.g. a scalar) represents a spatial position of a quantity in 3D space with respect to a specific coordinate system. For example, a displacement vector that describes a displacement as being 5 units in the x direction, 2 units in the y direction and 4 units in the z direction, is describing these units with respect to a known coordinate system. Likewise, a stress tensor is defined in 3D space with respect to a given coordinate system. If we wish to write displacements or stress or any other non-scalar quantity with respect to another coordinate system, we must transform the quantity. To consider transformation, we first recognize that there are two distinct coordinate systems in which we may wish to describe a transformation:
We know that the relationship between each axis of the two coordinate systems can be described by the cosine of the angles between all of the different axes. All these angles can be written in short hand notation as:

Since there are nine entities in 3D, we can recognize that the collection of direction cosines will be a 2nd order tensor. This can be written in matrix form as:

Once the direction cosine tensor is defined, entities (tensors) that are direction dependent may be readily transformed from one coordinate system to another. This includes displacements, stress, strain and constitutive tensors. The number of second order tensors needed to transform an entity is equal to the tensorial order of the entity that you wish to transform. This then constitutes the third rule of index notation:
Index Notation Rule #3: The number of 2nd order direction cosine tensors needed to transform an entity is equal to tensorial order of the entity being transformed, as indicated below:
Scalar:
0th order tensor, no direction cosine to transform, not direction dependent
Vector:
1st order tensor, one direction cosine to transform
2nd
order tensor: two direction cosines to transform
etc.
Example:
Transformation of a displacement vector via index notation:

For a second order tensor, we need to apply the direction cosine tensor twice:

Which can also be written in matrix notation as:
ii. Eigenvalues and Invariants
As seen in the previous section on transformation, all entities except scalar will vary when evaluated in different coordinate systems and are therefore direction dependent. However, there are certain functions of tensors, called eigenvalues and invarients, that independent of direction. That is, they have the same value in every cooordinate system. For stress and strain, 2nd order tensors, the eigenvalues and invariants have specific physical meaning. For example, the eigenvalues of stress and strain tensors are the prinicpal stress and strain, while the eigenvectors are the direction of that stress and strain. The first invariant of the stress tensor is the hydrostatic pressure. Invariants of second order tensors, which are most relevant for our purposes, are defined as:
Once the tensor invariants are known, the eigenvalues of each tensor may be calculated by solving the following cubic equations, whose coefficients are the tensor invariants, I1, I2 and I3:
![]()
The above polynomial equation may be easily solved using numerical analysis software such as MATLAB. In MATLAB, the command to solve a polynomial equation is called "roots". An example of how to use MATLAB to solve a cubic polynomial equation is given below:
Consider a cubic polynomial with the following coefficients:
![]()
where the cofficients would represent the invariants of a second rank tensor with

The commands to solve this cubic equation in MATLAB are straightfoward and given below:
>> p = [1 -6 -72 -28]
p =
1 -6 -72 -28
>> r = roots(p)
r =
12.1274
-5.7240
-0.4034
>>
iii. Gradients and Divergence of Tensors from Scalars on up
The final part of the mathematical preliminary section deals with how to differentiate scalars, vectors and tensors. The ability to do this is fundamental to establishing the tenets of continuum mechanics and is critical to working with constitutive tensors of tissues.
We begin with scalar gradients. A scalar as you recall has no directional dependence. However, it may be heterogenous, which means that it can vary from point to point within a body. A gradient of a tensor quantity represents how such a quantity changes in 3D space. Thus, by its nature, the gradient of a scalar becomes a vector, because the gradient may change from point to point in the x direction, for example, then in the y or z direction. The index notation for writing a scalar fthat varies with position xi in a body is written as:

Thus, we see that the gradient of a scalar is a vector field. The gradient is often written symbolically with the Nabla operator, that looks like an upside down triangle:

Next, let us turn to differentiation of a vector field. Again, the gradient of a vector field represents how the components of that vector field change from point to point in 3D space. We write the gradient of a vector field using index notation as:

where the circle with the "x" in it is the same dyadic product operator we defined earlier. We can thus write the gradient of vector using vector operations following the same procedure as we used to develop a tensor from the dyadic product of two vectors:
Thus, we can clearly see that the gradient of a vector creates a second rank tensor. This is due to the fact that we take the gradient in each direction, of which there are three, of each element of the vector, again, of which there are three, to create a total of nine components.
In addition to the gradient of a vector, we may also calculate the divergence of a vector. Physically, divergence measures the net flux, or rate of flow, of contents, (e.g. fluid, stress, energy) through a surface containing a volume. Mathematically, divergence of a vector is calculated as:

Note that the nabla operator is dotted with the vector to create the divergence operator rather than taking the dyadic product as when the gradient is created. We can write this in vector notation as:

Another point to note in comparing the gradient to divergence operators is that the gradient operator creates a higher ranked tensor from the vector while the divergence creates a lower ranked tensor from the vector, in this case a 0th ranked tensor or scalar.
Finally, we consider gradient and divergence operators applied to second order tensor fields. These applications follow the same procedure as when applying these operators to a vector. Again, using the gradient operator will product a tensor of higher order will using the divergence operator will produce a tensor of lower order.
First, consider the divergence of a second order tensor. This may may written as:
Therefore, taking the divergence of a second order tensor leaves a vector whose individual elements are sums:
The gradient of a second order tensor may be written as:
