BME 456: Biosolid Mechanics: Modeling and Applications
Section 2: The Concept of Stress
I. Overview
Stress is a critical concept to grasp as a basis for further understanding continuum and subsequently, tissue mechanics. Stress occurs when forces are applied to a body that is constrained. In other words, if the body does not move as a rigid body, part of the body will be stretched or squeezed and stresses will develop within the body. Stress therefore, is a measure of the internal force intensity developed within a body in response to external forces, as defined in this class, not necessarily what you feel when you have two homework assignments and a test tomorrow.
Stress, as mentioned, if a fundamental component to continuum mechanics and biosolid mechanics. Indeed the equilibrium equations describing force balance within a body are written in terms of stress. Furthermore, many material failure theories are actually based on the level of stress in a body. The purpose of this section is to describe and define stress as a second order tensor, and to derive the governing equilibrium equations for continuum mechanics. Note that in this chapter assumes that you have a working knowledge of index notation and mathematical concepts from Chapter 1. In summary, you will learn the following concepts in this section:
1. Definition of forces acting on a body
2. Definition of the Cauchy stress tensor
3. Derivation of the stress equilibrium equation from balance of linear
momentum
4. Derivation of Cauchy stress tensor symmetry from the balance of angular
momentum
5. Stress tensor invariants
6. Definition of indeterminancy from the stress equilibrium equations
II. Forces acting on a body
There are two basic types of forces that can act on a body, be it a tissue or an engineered component.
A body force acts on an element of mass or volume within the body. Examples of body forces include gravity and electromagnetic forces. Body forces are written or reckoned per unit mass or per unit volume. Thus, to find the total body force acting on a body, we need to integrate the force times the mass density (if the body force is reckoned per mass) over the volume:

were V is the volume, r is the mass density, and bi are the vector components of the body force reckoned per unit mass.
The second, and in reality more common, force we deal with in biosolid mechanics is the surface force. Surface forces typically occur due to contact between two bodies, or due to fluid pressure on a solid body. In biosolid mechanics, we see surface forces develop on skeletal joint surfaces due to contact between two joints. We also see stresses develop on skeletal tissue due to muscle forces generated that are transmitted to bones through tendons. Muscle is a unique tissue in that it can actively generate forces. However, a the microstructural level the mechanism of force generation is actually contact between two muscle proteins, actin and myosin. Surface forces on arteries and in the lung alveoli are developed due to blood fluid and gas pressure, respectively, on these tissues. Finally, surface forces on tissues may also be developed by contact of the human body with external objects, as occurs in a variety of sports and in car crashes. Surface forces are reckoned or written per unit area. Therefore, to determine the total surface force we integrate over the area:

where S is the surface area and ti are the components of the surface force vector.
III. Definition of the Cauchy Stress Tensor
When exterior forces are applied to a body, we know by Newton's 1st law that internal forces must develop within the body to balance the external forces, otherwise the body cannot be in equilibrium. Let us now consider what form these internal forces may take. Since a body is a three dimensional object, the internal forces within the body may be rendered on a cube of material. We can therefore consider that a traction force vector acts internally and in an arbitrary direction on each of the three faces of the cube:

Each traction vector in 3D will have three components. These three components can be are shown below on the cube:
Note that since we are dealing with continuum mechanics, we assume that the volume of the cube can be sequentially shrunk down to a point, if the volume is homogeneous. In reality, this is generally not the case, especially in biologic tissues. However the concept of stress so defined is still very useful for engineering analysis of tissue mechanics. More advanced concepts of multiscale continuum analysis are considered in the advanced course BME 456.
When the material cube shown above is shrunk to an infinitesimal point, then three components of each of the traction vectors on the cube face become the nine components of a second order stress tensor. It is important to note that this stress tensor is always defined in the deformed state of the material, and is known as the Cauchy stress tensor. This definition will become important when we deal with small versus large deformation mechanics. The 2nd order Cauchy stress tensor may be written in matrix form as:
IV. Relation of the Cauchy Stress Tensor to Applied Forces
A natural question is how the Cauchy Stress tensor relates to applied forces. To answer this question, we can turn to an analysis first done by A.L. Cauchy, known as the Cauchy stress tetrahedron. Consider a tetrahedron with its largest face arbitrarily cut within the body of interest:

From the tetrahedral geometry, we can induce the fact that the three components of the normal vector n lie along the x1, x2 and x3 axes. These components may be written as:
![]()
We can also see that the altitude of the tetrahedral, ON with length h, is a leg of each of the three right triangles ANO, BNO, and CNO, with hypotenuses OA, OB, OC. Thus, the length h can also be written as:
![]()
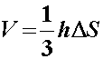
We also know from basic geometry that the volume of a tetrahedral is one third the base times. If we first consider the height as h, we can write the tetrahedral volume as:

If we next consider the height to be OA, and the base S1, we have:

Following the same line of reasoning for OB and OC we obtain:

If we then substitute for h in the volume expression the results relating h to each of the normal components we have:

Similarly, we can write the relations:
These geometric relationships will be useful for establishing the balance of forces as described next.
There is an arbitarily oriented traction vector on the largest face that is balanced by traction vectors on the three orthogonal faces:
We know that each of the traction forces, s, s1, s2, and s3 have are vectors whose components may be rendered along the three orthogonal axes. We can then, according to Newton's 1st law of physics, write the balance of forces in terms of each one of these components. Since the surface forces are reckoned per unit area, we must multiply each surface traction component by the surface area on which it acts. Also, since body forces are reckoned per unit mass, we must multiply the body forces by the mass. Thus, we may write the balance of forces in the x1 direction as:
![]()
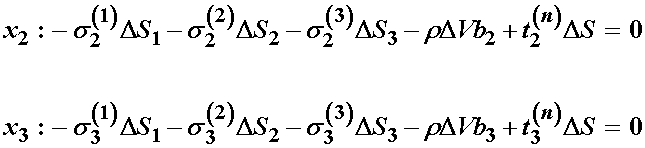
we may write the balance of forces in the x2 and x3 directions as:

If we substitute for delta V, S1,S2 and S3 with delta S using the relationships we derived from the tetrahedral geomety, we obtain:

Since delta S now multiplies all terms, we can divide delta S out from the equations to leave:

Now, since we are operating under a continuum assumption, we will assume that we can shrink the tetrahedron to a point, and that the material contained within the tetrahedron will remain homogenous. Also, since the traction vectors s and t represent average forces over the face areas, there averages will converge to a single value as the volume of the tetrahedron shrinks to zero. Thus, in the limit, the base areas and the height of the tetrahedron will approache zero. Any terms multiplied by the height or base area will become zero in the limit. In the above equations, the body force terms become zero as we shrink the tetrahedron. This leaves the following:

At this point we note that the three components of the traction vector on the orthogonal surfaces are essentially equivalent to the 2nd order stress tensor as the tetrahedron is shrunk to a point. Thus, we can write the three components of the three traction vectors as components of the nine element 2nd order stress tensor and re-write the balance of force equations as (placing the stress tensor components on the right hand side of the equation):

Since the n face is an arbitrary plane, we may drop the n superscript and simply write:

If we examine the above traction-stress vector equation, we see that it may be directly written in index notation as:
We also note that the arbitrary cut face denoted as N on the original tetrahedron may naturally occur on the exterior surface of the body. In this state, we recognize that the traction vector is an applied surface traction, and so the equation relating a traction vector to the internal stress state and the normal to the surface can relate the surface traction to the internal stress state. We will later see that this corresponds to a boundary condition for the stress equilibrium partial differential equation.
V. Derivation of the governing equilibrium equations and symmetry of the Cauchy Stress tensor
Now that we have an understanding of the Cauchy stress tensor, we will derive the governing stress equilibrium equation. To start, let us first consider again a small cube of material inside the body. If we consider that stresses act on the body, we draw a cube of material and look first at force balance in the x direction. Here forces include the stresses that are rendered per unit area times the cube face area and the applied body force:

where s11 is the normal stress on the plane
perpendicular to the x1 axis, s21 is the shear
stress on the plane perpendicular to x2 axis acting in the x1 direction,
and s31 is the shear stress on the plane perpendicular
to the x3 axis acting in the x1 direction. In general, sij
represents a stress acting on the plane perpendicular to the xi axis in
the direction of the xj axis. Thus, s11 is acting
on the plane perpendicular to the x1 axis in the x1 direction. In the fgirue
above, b is a general body force. Only the b1 component of the body force
enters into the balance of forces in the x direction. We can now write the
balance of force in the x direction noting two facts. First, stress is defined
as force per unit area so to get the force we must multiply the stress by
the area of the plane on which it acts. Thus the area of the plane perpendicular
to the x1 axis is ![]()
,
the area of the plane perpendicular to x2 is ![]()
,
and the plane perpendicular to x3 has an area of ![]()
.
Next we note the the positive and negative forces in the same direction
are separated by
,
, or
. s11
acts at a location of
.
If we add all the forces that are acting including the x1 component of the
body force b we obtain:

where it is important to note that all multiplication of terms is represented
by an asterisk *. We next divide the above equation through by the quantity
*
*
,
the volume of the infinitesimal cube to obtain:

Next, because we are now using principles of continuum mechanics, we let the size of the incremental cube in the limit shrink towards zero. Note that the cube volume does not become zero, but approaches zero. In this case, the quantities involving forces acting in different directions turn out to be partial derivatives of the stresses with respect to the direction of the denominator. For example,

Likewise, we can definte the derivative for the other terms as:

Using this defintion for all terms, we obtain the equilibrium equation in the x1: direction as:

Let us now consider force balance in the x2 direction:

If we again write the balance of forces we have:

If we again divide by the infinitesimal cube volume and then in the limit let the cube volume approach zero we have:

Finally, if we look at the balance of forces in the x3 direction we have:

We can write the equation for force balance in the x3 direction as:

We again divide by the infinitesimal volume and let the volume approach zero to obtain:

Thus, we can see that if we balance internal forces on an infinitesimal piece of material inside a body, we obtain three equations that define the stress state, assuming we have a body force active:



Again, we see three equations that have perturbations in the second index, and there are three equations in the first index. Therefore, we can write the above three equations in index notation as:
Stress Symmetry:
In addition to force balance, Newton's first law also states that any moment on an infinitesimal cube must balance. Let us consider balance of moments due to stress tensor components about each of the three orthogonal axes, also called balance of angular momentum. We first consider a moment about the x1 axis:

Now let's write the moment create by the stress s32. s32 acts on the face whose area is delta x1*delta x2, therefore the total force exerted by s32 is:
The moment arm is the distance to the middle of the cube, delta x3 divided by 2. Therefore, the total moment is:
![]()
The normal stresses do not cause a moment since they have a moment arm of zero. If we write the balance of moment for the four shear stresses, we obtain:

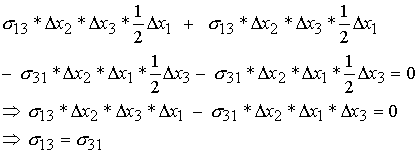
Next, consider the moments generated on the planes perpendicular to the x1 and the x3 axes:

The total moment associated with the stress s13 is:
![]()
where the first two delta x terms are the area of the plane and the last term is the moment arm. We can now balance the moments in the x2 plane due to these shear stresses. It is important to note that on the innfinitesimal cube there are no externally applied moments (there are some continuum theories that assume moments at this level, but they are not widely used and are beyond the scope of these notes). Thus the balance of moments in the x2 direction leads to:

Probably by now you have the idea, so we will skip the moment balance about the x3 axis. The bottom line is that balance of angular momentum gives us the result that the stress tensor is symmetric:
![]()
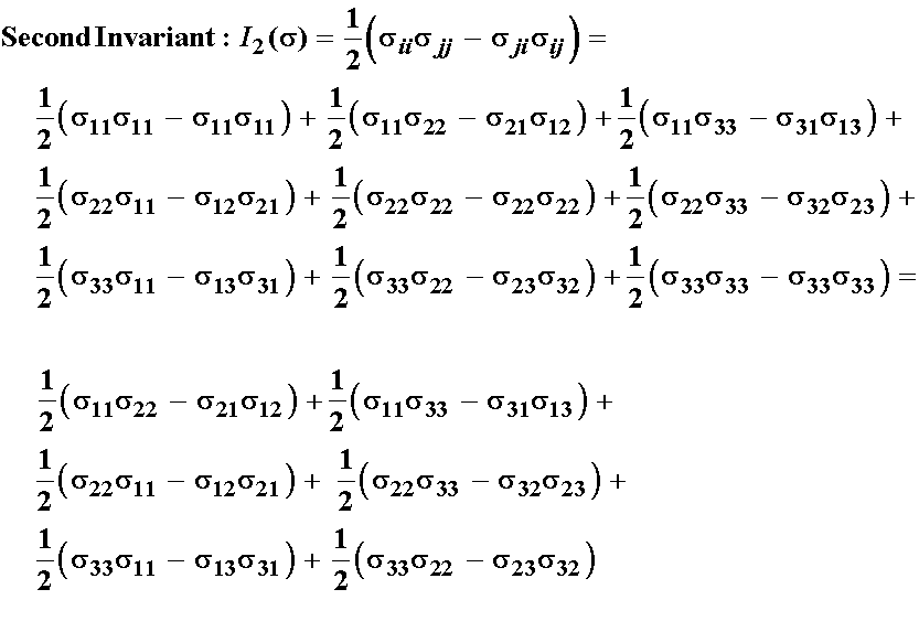
VI. Stress Invariants and what they mean
Now that we have defined stress as a second order tensor, and the equilibrium equations governing stress, we will look briefly at the stress tensor invariants. Recall that second order tensors such as the Cauchy Stress tensor will change value when referenced to different coordinate systems. Invariants are scalar functions of tensors that by definition have the same value no matter the coordinate system to which they are referenced. It is important to understand stress invariants since they will play a role in developing constitutive equations, especially for soft tissues that are often assumed to be incompressible. Recall from section 1 the general definition of invariants for a second order tensor. If we simply replace the A notation for a second order tensor with the s for the Cauchy stress tensor, then we have:



As mentioned, the stress tensor invariants have physical meaning. The first invariant is the hydrostatic stress or pressure. This plays an important role in tissues that are assumed to be incompressible. Incompressibility means that no matter how high the hydrostatic pressure, it will not cause a volumetric deformation. The second invariant is related to shear stress. In fact, the octahedral shear stress is computed from the second invariant as:

VII. Summary
In this section we have developed the 2nd order Cauchy Stress tensor and derived the stress equilibrium equations and stress symmetry. It is important to summarize what the stress equilibrium equations mean. First, note that we did not make any assumptions about the nature of the material when we derived the stress equilibrium equations. Therefore, these equations hold from any material, including any biological tissue. Second, we did not specify the amount of deformation when deriving the Cauchy stress or the stress equilibrium equation. Thus, these equations hold for any amount of deformation. However, it is critical to remember that both the Cauchy stress tensor, and the stress equilibrium equations must be solved in the deformed state of the material. We will learn later in the next section the nomenclature for deformed and undeformed, as well as small and large deformation. We will see that in reality to solve large deformation problems, which are the norm for soft tissue mechanics, we will need to derive more stress tensors and modify the stress equilibrium equations. Finally, it is important to take stock of the stress equilibrium equations shown below and what they mean. In compact index notation the three stress equilibrium equations for 3D (there would be two equations for 2D) are written as:

There are three equations since i is an independent index and takes values from 1 to 3. Note that given our definition of the divergence operator, the above equations can be written symbolically as:
![]()
which may be expanded as:


with the following traction boundary condition:
Now let us look at how many unknowns are in the above equation. Basically, our goal in doing stress analysis of a tissue is to solve the stress equilibrium equation for a body subject to a given body force b and surface traction t. Therefore, both b (if present) and t must be given for us to even have a chance theoretically to solve the problem. When we try to solve a full blown 3D problem, we will immediately see that even accounting for stress symmetry, there are six unknowns (three normal and three shear stresses), but only three equations. Given that the number of equations is less than the number of unknowns, we have an indeterminate problem, which means that the solution, if we can even find it, will not be unique. That is, there will be more than one solution that will satisfy the stress equilibrium problem in 3D. Thus, we obviously cannot find a true solution unless we do one of three things:
1. We can simplify the problem based on intelligent assumptions (or is that guesses?) so that the number of unknowns is reduced to equal the number of equations. This is the reason why material testing is done with specimens of simple geometry, so that we may simplify the stress state to uniaxial (one stress) or biaxial (2-3 stresses). Obviously, there will be many cases in which this approach will not work.
2. We can supplement the stress equilibrium equations with additional equations and additional unknowns until we can balance the number of equations and unknowns.
3. We can optimize, in which we recognize that more than one solution exists, but we identify a criteria by which we choose a best solution.
It turns out for deformable body mechanics, the we choose option number 2. In choosing option number 2, we supplement stresses as unknowns with strains and displacements, which are kinematic variables. We will find that option number 3 is used when it is not possible to add additional variables and unknowns. This is a common approach when we want to estimate musculoskeletal forces, since in force balance we do not want to add additional variables, so we assume that the body tries to pick a best solution to muscle recruitment and force generation. We will learn that in many cases we actually blend the 2nd and 3rd approach, using the 3rd approach to estimate boundary conditions and traction forces, and then inputting these to the deformable body mechanics problem. Thus, in our next section we will study kinematics and derive strain displacement relationships.