Experimental
Homepage
Experimental
Mechanism
Spectral Data
Leading Question
References
Abou
t Us
Mechanism
Trainers
References
Leading Question
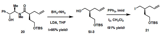
Cha, J. Y.; Yeoman, J. T. S.; Reisman, S. E. J. Am. Chem. Soc. 2011, 133, 14964-14967.
Head back to town!