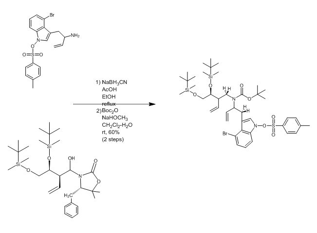
Hi! We are Elias Tavarez, Brendon Brown, Neil Shah and Amanda Gunawan and welcome to our wonderful world of chemistry and memes. Here is a little introduction to our reaction. Our reaction occurs between an amine and hemiaminal to give a protected amine. Our reaction is a step in the multi-step synthesis of lysergic acid. It starts with reductive amination of an amine with a hemiaminal. This resulting product is then protected using Boc to give the final product in 60% yield. We hope that this website will inform you on the specifics of our reaction such as its mechanism, HNMR data, the experimental and a tutorial on a specific part of our mechanism.