
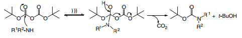
This paper reports a study of a green method of the common N-Boc protection of amines. It uses ultrasound irradiation because it doesn't require a reaction solvent, can have an excellent yield, and be performed in a short period of time at ambient temperature. This sonochemical study attempts to perform a process while adhering to green chemistry principles. After the experiment, the results showed that the energy from the ultrasound radiation--without any catalyst or reaction solvent--generate vibrations within the reactants, facilitating the N-Boc protection of amine in the reaction. The researchers concluded that this procedure was easier and more efficient than traditional methods of N-Boc protection because it is environmentally friendly, finished in a shorter amount of time, performed under conditions without a solvent, and doesn't generate byproducts. Additionally, this paper references our original paper when it mentions Amberlyst-15 as a catalyst used in Lewis-acid catalyzed reactions for N-boc protection.
Supporting Paper #4: Amira, A.; K’tir, H.; Berredjem, M.; Aouf, N. E. Monatsh. Chem. 2014, 145, 509-515.