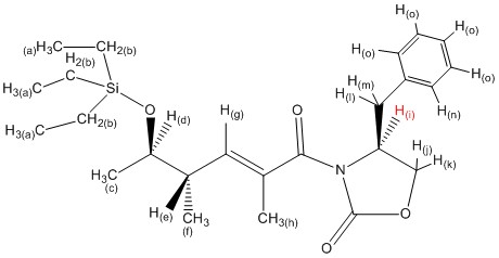
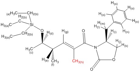
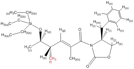
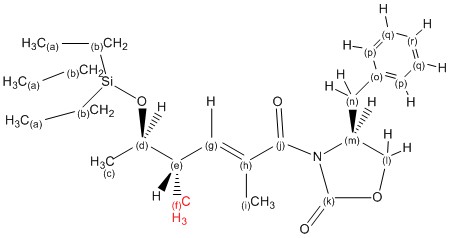
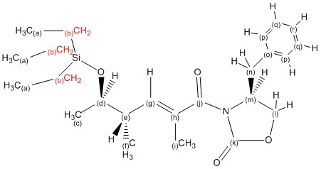
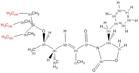
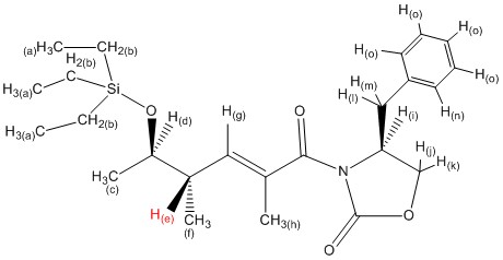
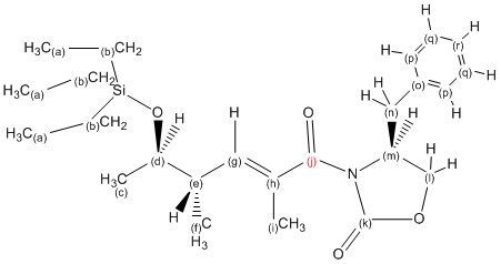
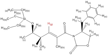
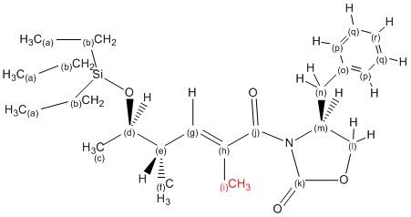
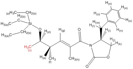
13-CNMR
(Hover over this text for the original molecule)
Carbon |
Peak |
3C (a) |
4.9 ppm ![]() |
3C (b) |
6.9 ppm ![]() |
1C (c) |
20.9 ppm ![]() |
1C (d) |
70.9 ppm ![]() |
1C (e) |
40.3 ppm ![]() |
1C (f) |
15.2 ppm ![]() |
1C (g) |
127.2ppm ![]() |
1C (h) |
130.4 ppm ![]() |
1C (i) |
13.6 ppm ![]() |
1C (j) |
152.9 ppm ![]() |
1C (k) |
172.0 ppm ![]() |
1C (l) |
66.3 ppm ![]() |
1C (m) |
55.5 ppm ![]() |
1C (n) |
37.4 ppm ![]() |
1C (o) |
135.2 ppm ![]() |
2C (p) |
129.4 ppm ![]() |
2C (q) |
128.8 ppm ![]() |
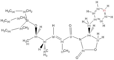
1C (r) |
141.2 ppm ![]() |
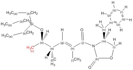
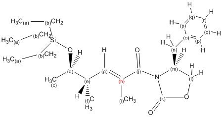
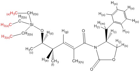
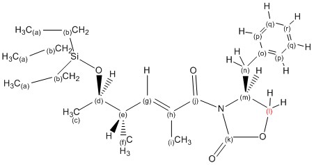
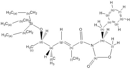
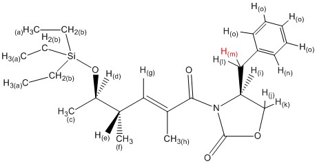
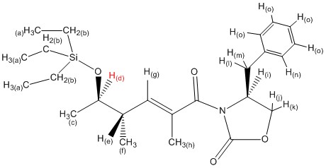
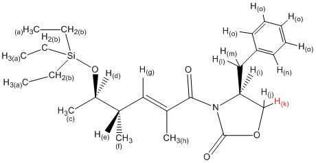
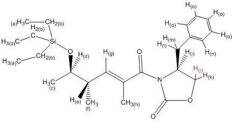
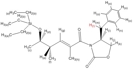
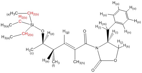
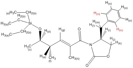
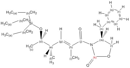
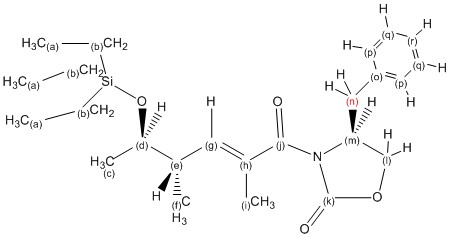
1-HNMR
(Hover over this text for the original molecule)
H |
Integration |
Peak |
6H (a) ![]() |
quartet ![]() |
0.60 ppm ![]() |
9H (b) ![]() |
triplet ![]() |
0.96 ppm ![]() |
3H (c) |
doublet |
1.92 ppm ![]() |
1H (d) |
doublet-quartet |
3.83 ppm ![]() |
1H (e) |
doublet-doublet-quartet |
2.56 ppm ![]() |
3H (f) |
doublet |
1.03 ppm ![]() |
1H (g) |
multiplet |
4.65-4.73 ppm ![]() |
3H (h) |
doublet |
1.12 ppm ![]() |
1H (i) |
doublet-multiplet |
5.98 ppm ![]() |
1H (j) |
doublet-doublet |
4.14 ppm ![]() |
1H (k) |
doublet-doublet |
4.23 ppm ![]() |
1H (l) |
doublet-doublet |
2.84 ppm ![]() |
1H (m) |
doublet-doublet |
3.34 ppm ![]() |
2H (n) |
multiplet |
7.18-7.35 ppm ![]() |
3H (o) |
multiplet |
7.24-7.35 ppm ![]() |