Learning Resources

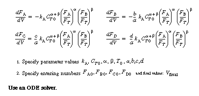
Algorithm for Gas-Phase Reaction when conversion is not used as a variable.


IMAGE 04eq86.gif

IMAGE 04eq87a.gif

IMage 04eq87b.gif