Professional Reference Shelf

R4.2 Recycle Reactors

       
    Recycle reactors are used when the reaction is autocatalytic, or when it is necessary to maintain nearly isothermal operation of the reactor or to promote a certain selectivity (see Section 5.6.6). They are also used extensively in biochemical operations. To design recycle reactors, one simply follows the procedure developed in this chapter and then adds a little additional bookkeeping. A schematic diagram of the recycle reactor is shown in Text Figure 4-15.  
       
   

IMAGE recycle reactor/fig 4-15

 
       
    The recycled stream is drawn off at point Q and merged with the fresh feed at Point P. We shall define the recycle parameter R as the moles recycled per mole of product removed at point Q.  
       
   

IMAGE 04eq54.gif

 
       

Two conversions:
Xsand X0

  Two conversions are usually associated with recycle reactors: the overall conversion, X0, and the conversion per pass, Xs :  
       
   

IMAGE 04eq55.gif


(CD4-88)


(CD4-89)
       
   

The only new twist in calculating reactor volumes or conversions for a recycle reactor is a mole balance at the stream intersections (points P and Q) to properly express the species concentrations as a function of conversion. Consider the gas-phase reaction

IMAGE  04eq56.gif

occuring in our reactor. Let X be the conversion of A in the reactor per mole of A fed to the reactor. The design equation is

 
       
   

IMAGE 04eq57.gif

 
       
    Then:  
    Design equation:  
   

IMAGE 04eq58.gif

       
    Rate law:  
   

IMAGE 04eq59.gif

 
       
    with IMAGE 04eq60.gif  
       
    Stoichiometry:
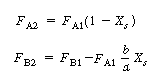
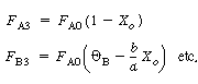
1. From the definition from the overall conversion, we can define F A3 and F B3 leaving the system,
 
       
   

IMAGE 04eq61.gif


(CD4-90)


(CD4-91)
       
    From the definition for conversion per pass, we can define F A2 and F B3 leaving the reactor,  
   

IMAGE 04eq62.gif


(CD4-92)


(CD4-93)
       
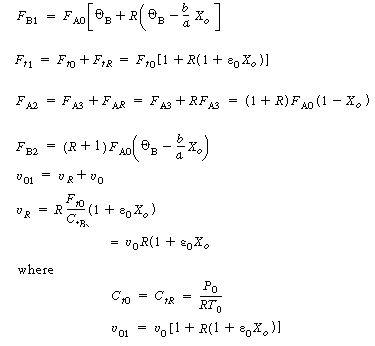
    2. From the definition for the recycle parameter, R, we can define F AR and F BR and the total molar flow rate in the recycle stream, F tR  
       
   

IMAGE 04eq63.gif


(CD4-94)



(CD4-95)



(CD4-96)
       
    where  
   

IMAGE 04eq64.gif

 
       
    3. From the balance on the stream intersections, we have  
       
   

IMAGE 04eq65.gif

(CD4-97)

Relating the molar flow rates in the various streams




IMAGE 04eq66.gif



(CD4-98)


(CD4-99)


(CD4-100)


(CD4-101)

(CD4-102)

(CD4-103)

(CD4-104)


(CD4-105)

(CD4-106)
       
    The volumetric flow rate in the reactor, , is related to the volumetric flow rate entering the reactor IMAGE 04eq67.gif by
       
    
IMAGE 04eq68.gif
(CD4-107)
     
    where X is the number of moles of A reacted per mole of A entering the reactor, and IMAGE 04eq69.gif is defined by  
       
   

IMAGE 04eq70.gif





(CD4-108)
       
    The molar flow rate of A within the reactor is  
       
   

IMAGE 04eq71.gif

(CD4-109)
IMAGE 04eq72.gif               (CD4-110)
     
       
   

IMAGE 04eq73.gif

(CD4-111)
       
IMAGE 04eq74.gif
       
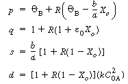
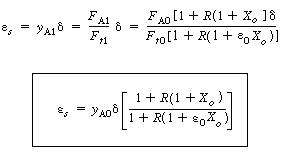
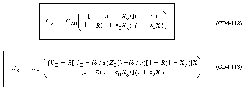
    These equations for concentration are substituted into the rate law, which is in turn substituted into the design equation and integrated. For a first-order reaction in A and in B,  
       
   

IMAGE 04eq75.gif

(CD4-114)
       

Recycle reactor volume

 

IMAGE 04eq76.gif

(CD4-115)
       
    where  
   

IMAGE 04eq77.gif

 
       
    The relationship between the overall conversion and the conversion per pass can be found by equating F A2 from Equations (CD4-107) and (CD4-106):  
       
   

IMAGE 04eq78.gif

 
       
    Then using Equation (CD4-97) and simplifying, we have  
       
   

IMAGE 04eq79.gif

(CD4-116)