Professional Reference Shelf

   

EXAMPLE CD7-5
Match Eadie Plots to the Different Types of Inhibition

 
   





Determine the figure that corresponds to each of the three types of inhibition: competitive, uncompetitive, and noncompetitive.
 
       
    SOLUTION  
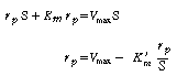
    For competitive inhibition:  
       
   

IMAGE 07eq44.gif

 
       
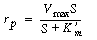
    Multiplying by and rearranging, we obtain  
       
   

IMAGE 07eq46.gif

 
       
    We see that a plot of rp vs. rp /S will be a straight line with a slope, where  
       
   

IMAGE 07eq47.gif

 
       
    A change in the inhibitor concentration will change the slope of the Eadie plot but not the intercept. The greater the inhibitor concentration, the greater (i.e., steeper) the slope.  
   

Ans.: Figure CD7-3b

 
    For uncompetitive inhibition:  
       
   

IMAGE 07eq48.gif

 
       
    After rearranging (CD7-16) so that  
       
   

IIMAGE 07eq49.gif

 
       
    we see that increasing the inhibitor concentration will decrease the slope and the intercept of an Eadie plot.  
       
   

Ans.:Figure CD7-3c.

 
       
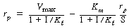
    For noncompetitive inhibition:  
       
   

IMAGE 07eq50.gif

 
       
    Again,multiplying by (S + K m) and rearranging, we obtain  
       
   

IMAGE 07eq51.gif

 
       
    In the case of noncompetitive inhibition, increasing the inhibitor concentration decreases the intercept but does not affect the slope of an Eadie plot.  
       
   

    Ans.: Figure CD7-3a .