Professional Reference Shelf

Example R7.4-2: Derive an Initial Rate Law for Alcohol Dehydrogenates

Before considering the possibility of going directly from the apoenzyme to the holoenzyme, assume that the rate of dissociation of the complex (ADHNAD+),

IMAGE 07eq75.gif

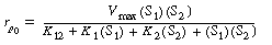
is irreversible, and show that the initial rate law for ethanol in the enzyme cofactor reaction sequence discussed earlier is of the form

IMAGE 07eq76.gif

(RE7.4-2.1)

 



     
Solution
IMAGE 07eq77.gif

Let E = ADH, S1 = CH3CHO, S2 = NADH, = NAD+, and P1 = CH3CH2OH. Then

IMAGE 07eq79.gif

By adding the rate law for the rate of formation of ethanol (P 1),

IMAGE 07eq80.gif

to the equation forIMAGE 07eq81.gif(below), we see that the rate law for ethanol can be written as

IMAGE 07eq82.gif

(RE7.4-2.2)

Application of the PSSH to the holoenzyme (EmiddotS2) and the apoenzyme
(Emiddot)

IMAGE 07eq83.gif

allows one to solve for the concentrations of the cofactor-enzyme complexes in terms of S2, S2*, and E.

   

 image 07eq84.gif

(RE7.4-2.3)



(RE7.4-2.4)

The total concentration of bound and unbound enzyme is

 image 07eq85.gif

(RE7.4-2.5)

Substituting Equations (RE7.4-2.3) and (RE7.4-2.4) into Equation (RE7.4-2.5), the unbound enzyme concentration is

       
   

(RE7.4-2.6)

       

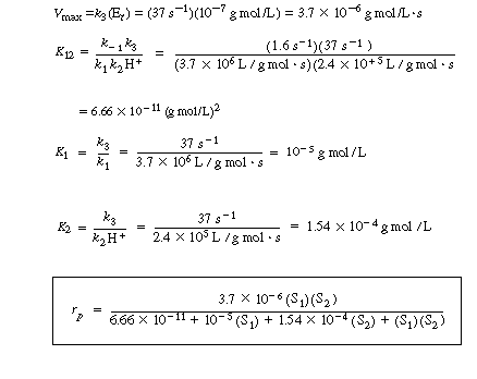
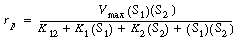
Setting (P1) = 0, we obtain the initial rate law by combining Equations (RE7.4-2.2), (RE7.4-2.4), and (RE7.4-2.6):

IMAGE 07eq87.gif

(RE7.4-2.7)

07eq88.gif