Professional Reference Shelf

Example R7.4-3: Derive a Rate Law for a Multiple Substrate System

    Derive the rate law for this sequence assuming that the rate of reaction between the (ADHNADH) complex and acetaldehyde is rate limiting.



     
    Solution
    Assuming that the reaction between the cofactor-enzyme complex and acetaldehyde is rate limiting, the rate law is
     
   

IMAGE 07eq92.gif

     
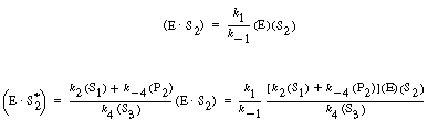
    [Note: k2=k2 (h+).] After applying the PSSH to (ES2) and

(E) to obtain the equations
     
   

(RE7.4-3.1)

(RE7.4-3.2)
   
    we add Equations (RE7.4-3.1) and (RE7.4-3.2) and rearrange to obtain
     
   

IMAGE 07eq94.gif

(RE7.4-3.3)



(RE7.4-3.4)
   
    The total enzyme concentration is again constant at (Et):
     
   

IMAGE 07eq95.GIF

(RE7.4-3.5)


(RE7.4-3.6)
   
    After solving Equation (RE7.4-3.6) for E, we combine with Equation (RE7.4-3.1) to obtain the rate law:
     
    IMAGE 07eq96.gif (RE7.4-3.7)
     
    Setting P2 = 0 and rearranging, we obtain the initial rate law:
     
   

IMAGE 07eq97.gif

(RE7.4-3.8)
     
    where
   

image 07eq97.gif