| |
Dissolution catalysis is the process in which a species that has no dissolving capacity is added to a system to accelerate the rate of dissolution. To illustrate this process, we shall consider the aluminosilicate system discussed in the Learning Resources section, except that this time we will add a dissolving catalyst B (e.g., H+ ). In this system, B can only adsorb on specific sites on the surface, S´ . These sites are different from those sites upon which A can adsorb.
The adsorption process shown schematically in Figure R10.4-1 can be written symbolically as |
|
|
|
|
(R10.4-1)
|
|
|
Next we have the adsorption of A (HF) on S-type sites (Figure R10.4-2):
|
|
|
|
|
(R10.4-2)
|

Figure R10.4-1 Adsorption of H+ (i.e. Species B)
|

Figure R10.4-2 Adsorption of HF (i.e. Species A)
|
|
|
Finally, the surface reaction takes place in which silicon and oxygen are removed from the surface exposing the next layer of silicon and oxygen (Figure R10.4-3). The surface reaction is
|
|
|
|
|
(R10.4-3)
|
|
|
and the corresponding rate law for the catalytic dissolution is
|
|
|
|
|
(R10.4-4)
|

Figure R10.4-3 Surface reaction
|
|
|
Because the adsorption of B is not rate-limiting,
|
|
|
|
|
|
|
Solving for the fraction of S´ sites occupied by the catalyst B gives us
|
|
|
|
|
(R10.4-5)
|
|
|
from a site balance of only those sites on which B can adsorb:
|
|
|
|
|
(R10.4-6)
|
|
|
Combining Equations (R10.3-19), (R10.4-4), (R10.4-5), and (R10.4-6), we obtain
|
|
|
|
|
(R10.4-7)
|
|
|
|
(R10.4-8)
|
|
|
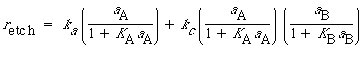
The total rate of dissolution is the sum of the uncatalyzed rate [Equation (R10.3-19)] and the catalyzed rate [Equation (R10.4-8)]:
|
|
|
|
|
(R10.4-9)
|
|
|
|
(R10.4-10)
|
|
|
The degree of catalysis, D AC ,is defined as the catalyzed rate minus the uncatalyzed rate, divided by the uncatalyzed rate:
|
|
|
|
|
(R10.4-11)
|
|
|
Substituting for the uncatalyzed rate equation (R10.3-19) and the catalyzed rate equation (R10.4-8) gives
|
|
|
|
|
(R10.4-12)
|
|
|
Figure R10.4-4 shows a plot of the degree of catalysis as a function of hydrogen ion activity for the dissolution of the aluminosilicate kaolinite. Taking the reciprocal of Equation (R10.4-12), we obtain
|
|
|
|
|
(R10.4-13)
|

Figure R10.4-4 Acceleration of kaolinite dissolution rates by HCI
|
|
|
Figure R10.4-5 shows the etch rate as a function of catalyst activity.6 We see that a plot of 1/D AC versus 1/a B should be a straight line.
|
|

Figure CD10-18 Linearization of model for the catalyzed dissolution of kaolinite
|