Experimental data for the gas phase catalytic reaction
A + B
C
is shown below. The limiting step in the reaction is known to be irreversible, so that the overall reaction is irreversible. The reaction was carried out in a differential reactor to which A, B, and C were all fed.

(a) Sketch (-r-A) as a function of PA, as a function of PB, and as a function of PC.
(b) From your observations in part a, which species would appear in the numerator of the rate expression? Which species would appear in the denominator of the rate expression? To what power is the denominator raised?
(c) From your conclusions from part b, suggest a rate law consistent with the experimental data.
(d) From your rate expression, which species can you conclude are adsorbed on the surface?
(e) From your conclusions in part d, suggest a mechanism and rate limiting step for this reaction.
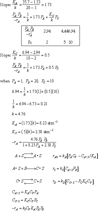
(f) Show succinctly using, sketches, graphs, outlines how you would evaluate the rate law parameters to obtain 
(g) For an entering partial pressure of A of 2 atm in a PBR, what is the ratio of sites of A to C sites at 80% conversion of A?
(h) At what conversion are the number of A and C sites equal?
(a)
1) Compare Runs 1, 3, 6, and 7. PB and PC are fixed.

2) Compare Runs 4 and 5. PA and PB are fixed.

3) Compare Runs 2 and 7. PA and PC are fixed.

(b)
A and B in numerator, C and A in denomenator
(c)



(g)

(h)
