Learning Resources

Example CD10-1: Analysis of a Heterogeneous Reaction

[Class Problem, Winter 1997]

     
     
    Experimental data for the gas-phase catalytic reaction
     
    image 10eq123.gif
     
    are shown below. The limiting step in the reaction is known to be irreversible, so that the overall reaction is irreversible. The reaction was carried out in a differential reactor to which A, B, and C were all fed.
     
    (a) Sketch as a function of PA , as a function of P B , and as a function of P C.

(b) From your observations in part (a), which species would appear in the numerator of the rate expression? Which species would appear in the denominator of the rate expression? To what power is the denominator raised?

image 10eq124.gif

(c) From your conclusions from part (b), suggest a rate law consistent with the experimental data.

    (d) Evaluate the rate law parameters.
(e) From your rate expression, which species can you conclude are adsorbed on the surface?
(f) From your conclusions in part (e), suggest a mechanism and rate-limiting step for this reaction.
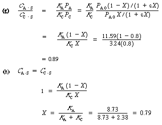
(g) For an entering partial pressure of A of 2 atm in a PBR, what is the ratio of sites of A to C sites at 80% conversion of A?
(h) At what conversion are the number of A and C sites equal?
     
   




Solution

(a) Compare runs 1, 3, 6, and 7. P B and P C are fixed. As P A increases the rate first increases then levels off. Therefore, P A must be in both the numerator and denominator.



     
    Compare runs 4 and 5. PA and PB are fixed. Because the reaction is irreversible, PC must be in the denominator.

     
    Compare runs 2 and 7. PA and PC are fixed. increases by a factor of 10 when PB increases by a factor of 10. PB is only in the numerator.



     
   

(b) A and B are in the numerator, C and A are in the denominator.
(c) image 10eq125.gif



(d) For fixed P C and P B ,
    image 10eq126.gif
     
    image 10eq127.gif


    For fixed P A and P B
     
    image 10eq128.gif
image 10eq129.gif


     
    image 10eq130.gif

We note that the non-linear regression techniques described in Chapter 5 could have easily been used.

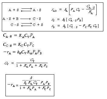
Find the Mechanism and Rate Limiting Step

image 10eq131.gif

 (f) A and C are on the surface

image 10eq132.gif