11. External Diffusion Effects on Heteregeneous Reactions

Professional Reference Shelf

R11.1 Mass Transfer-Limited Reactions on Metallic Surfaces

   

In this section we develop the design equations and give the mass transfer correlations for two common types of catalytic reactors: the wire screen or catalyst gauze reactor and the monolith reactor.

 
       
   

A. Catalyst Monolith

The previous discussion in this chapter focused primarily on chemical reactions taking place in packed-bed reactors. However, when a gaseous feed stream contains significant amounts of particulate matter, dust tends to clog the catalyst bed. To process feed streams of this type, parallel-plate reactors (monoliths) are commonly used. Figure R11.1-1 shows a schematic diagram of a monolith reactor. The reacting gas mixture flows between the parallel plates, and the reaction takes place on the surface of the plates. In deriving the design equation we carry out a balance on a differential section of the reactor delta z(Figure R11.1-2).
 
 

Figure R11.1-1
Catalyst monolith.




Figure R11.1-2
Top view of monolith.




 

Mole balance
for a monolith
catalyst

image 11eq29.gif (R11.1-1)
       
    where am is the catalytic surface area per unit volume of reactor and A cis the cross-sectional area normal to the direction of gas flow.
The rate of surface reaction is equal to mass flux to the surface. Taking the surface concentration equal to zero for mass transfer-limited reactions gives
 
       
   

image 11eq30.gif

(R11.1-2)
       
    Substituting Equation (R11.1-2) into (R11.1-1) and taking the limit asdelta zsmall arrow0 yields  
       
   

image 11eq31.gif

(R11.1-3)
       
    In terms of volume  
       
   

image 11eq32.gif

(R11.1-4)
       
    The surface area per unit volume, a, for n plates is  
       
   

image 11eq33.gif

(R11.1-5)
       
    Typical spacings between the plates are usually between 0.005 and 0.01 m. The length ranges between 0.05 and 0.5 m, and gas velocities between 5 and 20 m/s are not uncommon.

The mass transfer coefficient can be calculated from the correlation
 
       

Mass transfer
correlation for
a monolith catalyst

  image 11eq34.gif (R11.1-6)
       
    The approximate error in the correlation isplus/minus image 20%. Other limitations of the correlation can be found in the article just cited by Arashi et al.1

For no volume change with reaction, Equation (R11.1-4) can be integrated to give
 
       
   

image 11eq35.gif

(R11.1-7)
       

Ford and Chrysler
use monolith catalytic
afterburners.

 

A variation of the monolith reactor has the gas flowing through square (or other shape) channels as shown in Figure R11.1-3. This reactor is also known as a honeycomb reactor. Monolith reactors are used as catalytic afterburners on automobiles and are manufactured by Chrysler and Ford.2

 
 



(b)


Figure R11.1-3
(a) Honeycomb reactor; (b) catalytic afterburner.
(Photo courtesy of Engelhard Corporation)


 
       
   

B. Wire Gauzes

Wire gauzes are commonly used in the oxidation of ammonia and hydrocarbons. A gauze is a series of wire screens, stacked one on top of another (Figure R11.1-4). The wire is typically made out of platinum or a platinum-rhodium alloy. The wire diameter ranges between 0.004 and 0.01 cm.


Figure R11.1-4
Wire gauzes.


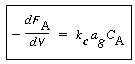
As a first approximation, one can assume plug flow through the gauze, in which case the design equation is similar to that for monolith reactors,
 
       

Differential form
of the wire gauze
design equation

 

image v

(R11.1-8)
       
   

where ag = total screen surface area per total volume of one screen, m2/m3 or in2/in3

n = number of screens in series
V = nmiddot(volume per screen)

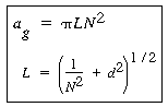
The values of ag can be calculated from the equations3

image 11eq37.gif

 
    where d = wire diameter, in.
     N = mesh size, number of wires per linear inch

In calculating the volume of the screen, the thickness is taken as twice the wire diameter (i.e., 2d). The porosity can be calculated from the equation
 
       
   

image 11eq38.gif

 
       
    The mass transfer coefficient can be obtained from the correlation for one to three screens,  
       

Mass transfer
correlation for wire
gauzes

  image 11eq39.gif (R11.1-9)


(R11.1-10)
       
    For one to five screens, the correlation is  
       
   

image 11eq40.gif

(R11.1-11)
     
    whereis the minimum fractional opening of a single screen:  
       
   

image 11eq41.gif

(R11.1-12)
       
    In the commercial process for the oxidation of ammonia, typical parameter values areconversion of ammonia.
 
    When more than one or two screens are necessary, some backmixing takes place. Shimizu et al. 4 account for this backmixing by introducing dispersion in the axial direction:  
       
   

image 11eq43.gif

(R11.1-13)
       

Too few screens?

  Equation (R11.1-13) is then combined with Equation (R11.1-8) and solved. When dispersion is significant it was shown that, depending on the flow conditions, 33 to 300% more screens were required than predicted by the plug-flow model.