Professional Reference Shelf

R14.1 Derivation of Equation for Taylor-Aris Dispersion

    In a laminar flow reactor we know that the axial velocity varies in the radial direction according to the Hagen-Poiseuille equation:  
       
   

image 14eq01.gif

 
       
    where U is the average velocity. For laminar flow we saw that the RTD function E(t) was given by  
       
   

image 14eq02.gif

 
       
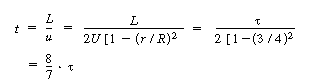
    In arriving at this distribution E(t) it was assumed that there was no transfer of molecules in the radial direction between streamlines. Consequently, with the aid of Equation (13-43), we know that the molecules on the center streamline (r = 0) exited the reactor at a time t = greek t/ 2, and molecules traveling on the streamline at r = 3R/4 exited the reactor at time  
       
   

image 14eq03.gif

(13-43)
       
    The question now arises: What would happen if some of the molecules traveling on the streamline at r = 3R/4 jumped (i.e., diffused) to the streamline at r = 0? The answer is that they would exit sooner than if they had stayed on the streamline at r = 3R/4. Analogously, if some of the molecules from the faster streamline at r = 0 jumped (i.e., diffused) to the streamline at r = 3R/4, they would take a longer time to exit (Figure R14.1-1). In addition to the molecules diffusing between streamlines, they can also move forward or backward relative to the average fluid velocity by molecular diffusion (Fick's law). With both axial and radial diffusion occurring, the question arises as to what will be the distribution of residence times when molecules are transported between and along streamlines by diffusion. To answer this question we will derive an equation for the axial dispersion coefficient, D a , that accounts for the axial and radial diffusion mechanisms. In deriving D a , which is referred to as the Aris-Taylor dispersion coefficient, we closely follow the development given by Brenner and Edwards. 1  
       
   


Figure R14.1-1
Radial diffusion in laminar flow

 
       
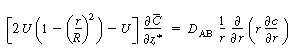
    The convective-diffusion equation for solute (e.g., tracer) transport in both the axial and radial direction is  
       
   

image 14eq04.gif

(R14.1-1)
    We are going to change the variable in the axial direction z toz*, which corresponds to an observer moving with the fluid  
       
   

image 14eq05.gif

(R14.1-2)
       
    A value of z*= 0 corresponds to an observer moving with the fluid on the center streamline. Using the chain rule, we obtain  
       
   

image 14eq07.gif

(R14.1-3)
       
    Because we want to know the concentrations and conversions at the exit to the reactor, we are really only interested in the average axial concentration image 14eq8a.gif, which is given by  
       
   

image 14eq08.gif

(R14.1-4)
       
    Consequently, we are going to solve Equation (R14.1-3) for the solution concentration as a function of r and then substitute the solution c(r, z, t) into Equation (R14.1-4) to find image 14eq8a.gif (z, t).

To solve equations (R14.1-1) to (R14.1-4) to determine the Aris-Taylor dispersion coefficient, we make the following four assumptions:
 
       
    image 14eq09.gif  
       
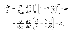
    We now apply the preceding approximations to Equation (R14.1-4) to arrive at the following equation:  
       
   

image 14eq10.gif

(R14.1-5)
       
    Because image 14eq11.gifis independent of r, Equation (R14.1-5) can be rearranged and integrated with respect to r:  
       
   

imagfe 14eq12.gif

 
       
    Symmetry conditions dictate that at r = 0,image 14eq13.gif, and therefore the constant of integration, K 1 , is zero.

After dividing both sides by r, a second integration yields
 
       
   

image 14eq14.gif

(R14.1-6)
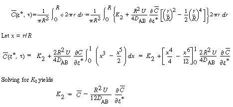
    The constant of integration K 2 is independent of r and can be evaluated using the equation for the average concentration:  
       
    image 14eq15.gif  
    image 14eq15.gif (R14.1-7)
    The final step to arrive at the celebrated Aris-Taylor dispersion coefficient,D*, is to multiply Equation (R14.1-3) by the differential cross-sectional area 2pir dr and carry out the integration over the tubular reactor radius R:  
       
  image 14eq16.gif  
       
    By changing the order of differentiation and integration for the first and last terms and recalling Equation (R14.1-4) gives  
       
  image 14eq18.gif (R14.1-8)
       
    Because there is no transport of solute through the tube wall,  
       
   

image 14eq19.gif

 
       
    Integrating the first term on the right-hand side of Equation (R14.1-8) along with the preceding boundary condition above gives  
       
   

image 14eq20.gif

(R14.1-9)
    Next we differentiate Equation (R14.1-7) with respect to image 14eq04a.gif and substitute it into the second term on the left-hand side of Equation (R14.1-8) to yield  
       
  image 14eq21.gif (R14.1-10)
       
    Carrying out the integration between 0 and 1 (r = R) gives  
       
   

image 14eq22.gif

(R14.1-10)
       
    Changing our variable image 14eq04a.gif back to z gives  
       
   

image 14eq23.gif

(R14.1-11)
       
    where D* is the Aris-Taylor dispersion coefficient:  
       

Aris-Taylor dispersion coefficient

 

image 14eq24.gif

(R14.1-12)
       
    That is, for laminar flow in a pipe  
       
   

image 14eq25.gif

 
       
    Figure 14.5 shows the dispersion coefficient D* in terms of the ratio image 14eq26.gif as a function of the product of the Reynolds and Schmidt numbers.