14. Models for Nonideal Reactors

Learning Resources

Solved Problems - Example CDE14-1: Two CSTRs with Interchange

     
       
    The elementary first-order liquid-phase reaction  
       
   

image 14eq54a.gif

 
       
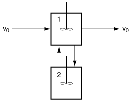
    is carried out in a nonideal CSTR with k = 0.03 min-1. The flow patterns seem to approximate two CSTRs with interchange (Figure CDE14-1.1). Species A enters the reactor at a rate of 25 dm3/min and a concentration of 0.02 mol/dm3 . The total reactor volume is 1000 dm3 . The results of a pulse tracer test are shown in Table CDE14-1.1 Using the results of these tests, determine the conversion.  
       
   

image 14eq55.gif

 
       
   



Figure CDE14-1.1

 
       
   

image 14eq56.gif

 
   
























Solution


14eq57.gif
       
    A tracer balance yields
(mass added at t = 0) = (mass out over all time)
 
       
    image 14eq58.gif
(CDE14-1.1)

(CDE14-1.2)
       
    We could also have evaluated Equation (CDE14-1.2) by taking the area under the curve of a plot of C(greeku) versusgreeku(Figure CDE14-1.2).  
       
       
   

Figure CDE14-1.2
Dimensionless tracer concentration as a function of dimensionless time

 
       
       
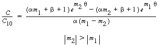
    We will now determine the decay constants, m 1 andm 2 , from which the fraction exchanged,beta, can be determined. The dimensionless concentration is obtained from Equation (CD14-27).  
       
    image 14eq59.gif

(CDE14-1.3)
       
    Plotting the ratio C(t) /C 10 as a function ofon semilog coordinates, we get the graph shown in Figure CDE14-1.3. At long times, the first term containing m2 in the exponent is negligible with respect to the second term. Consequently, if we extrapolate the portion of the curve for long times back togreeku= 0, we have  
       
   

image 14eq60.gif

(CDE14-1.4)
       
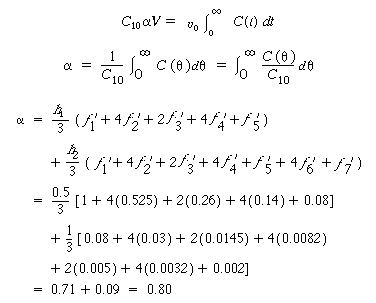
    Solving forbeta, we obtainbeta= 0.1. The two parameters for this model are then  
       
   

alpha= 0.8 andbeta= 0.1
= (40 min) (0.03 min -1 ) = 1.2

 
       
    Substituting for,alpha, andbetain Equation (CD14-18) yields  
       
    image 14eq61.gif

(CDE14-1.5)




(CDE14-1.6)
       
    So X = 0.51. For a single ideal CSTR,  
       
   

image 14eq62.gif

(CDE14-1.7)
       
    For a single ideal plug-flow reactor,  
       
   

image 14eq63.gif

 
   

(X model = 0.51)(X CSTR = 0.55)(X PFR )= 0.70

(CDE14-1.8)
       
   

Figure CDE14-1.3
Dimensionless tracer concentration as a function of dimensionless time