Chapter 9: Reaction Mechanisms, Pathways, Bioreactions and Bioreactors
Professional Reference Shelf
R7.2 Fermentation Scale-up
| Scale-up for the growth of microorganisms is usually based on maintaining a constant
dissolved oxygen concentration in the liquid (broth), independent of reactor size.
Guidelines for scaling from a pilot-plant bioreactor to a commercial plant reactor
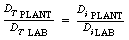
are shown in Table R7.2-2. One key to a scale-up is to have the speed of the end (tip) of the impeller equal the velocity in both the laboratory pilot reactor and the full-scale plant reactor. If the impeller speed is too rapid, it can lyse the bacteria; if the speed is too slow, the reactor contents will not be well mixed. Typical tip speeds range from 5 to 7 m/s. This scale-up procedure has been applied11 to the data of Rogovin et al.12 to produce 205,000 kg of Phosphomannan per year using the yeast Hansenula holstii. The pilot reactor was 2.3 m3 (600 gal) and the plant reactor was 50 m3(13,200 gal). The relative sizes of the scaling groups for this plant are shown in Table R7.2-3. Perspective. In the limited space available for this topic we have presented this greatly simplified version of bioreactor design. Here we have tried to give an overview of some of the basic ideas and vocabulary that will serve as a springboard to a deeper study of bioreaction engineering. For example, we have considered only a single nutrient source and have not discussed the interrelated enzymatic reaction pathways that exist between all the species necessary for cell growth. Wang et al.13 and Bailey and Ollis14 discuss the finer and more intricate details associated with the use of microorganisms to produce chemicals, antibiotics, and food products. In addition to the fundamentals already known about bioreactors, many challenging research areas exist. For example, animal cells are fragile and very susceptible to being lysed (killed) by even moderately large shear stress. Consequently, scale-up and thorough mixing of cells, nutrients, and oxygen become extremely difficult problems. In addition, cells can aggregate, which poses the problems of maintaining a supply of nutrients and removal of wastes. Fundamental studies of flocculation and surface interactions of microorganisms will aid in the solution to the aggregation problem as well as explore other frontiers of bioreactors, thus providing stimulating research in this area for many years to come. |
|||
|
TABLE R7.2-2 |
||
|
|
1. Choose fermenter volume required based on desired capacity. Algorithm for fermentor
2. Choose impeller diameter, Di.
( Then
5. Choose mass transfer correlation for kbab. (kbab)PLANT = (kbab)LAB
* T. J. Bailey and D. Ollis, Biochemical Engineering, 2nd ed., McGraw-Hill, New York, 1987.
|
