Chapter 9: Reaction Mechanisms, Pathways, Bioreactions and Bioreactors

Professional Reference Shelf

Example R9.6-4: Calculate the Initial Rate of Formation of Ethanol in the Presence of Porpanediol

    Assume that the specific reaction rates for the conversion of propanediol to DL -lactaldehyde are the same order of magnitude as the corresponding specific reaction rates for the conversion of ethanol to acetaldehyde. Calculate the initial rate of formation of ethanol in the presence of propanediol and compare this rate with the initial rate when propanediol is absent from the system.





Solution
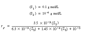
Assuming the corresponding specific reaction rates to be equal,
 
     
   

IMAGE 07eq99.gif

    We can then obtain numerical values for Vmax, K3, and K3 in Equation (RE7.4-3.8):
     
   

Vmax = (k4)(Et) = (3.5 X 103)(10-7) = 3.5 x 10-4S-1

     

image 07eq101.gif

   
   

initially

IMAGE 07eq102.gif

   

If

IMAGE 07eq103.gif

     
   

we can neglect the first two terms in the denominator with respect to the last term,

     
   

IMAGE 07eq104.gif

     
   

When no propanediol was present, we found that

     
   

IMAGE 07eq105.gif

     
   

If the propanediol and acetaldehyde are present in the same initial concentration,

     
   

IMAGE 07eq106.gif

     
   

then

     
   

IMAGE 07eq107.gif

     
   

and we see that the addition of the third substrate increases the rate of reaction by a factor of 10!