Chapter 9: Reaction Mechanisms, Pathways, Bioreactions and Bioreactors

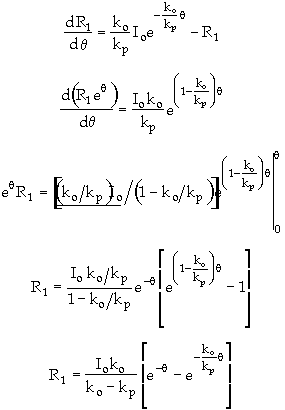
Derive: R1

Back to Chapter 9