Chapter 9: Reaction Mechanisms, Pathways, Bioreactions and Bioreactors

Bifurcation Analysis

Substrate Inhibited Enzyme Reactions in a CSTR

 

Problem Statement

A substrate inhibiting enzyme reaction

is carried out in a CSTR with residence time t. The inlet concentration of the substrate is CSO and the rate law is defined as

                                          (1)




a)   Reduce the material balance to show that

                      (2)

      where

      y = KI CS

      yo = KI CSO

      a = Km KI

      b = t Vmax KI


What is the maximum number of multiple steady states possible?

Solution Part (a)














b)   Let                                      A = yo – 1 , B = a + b – yo , C = yo a

Show Eqn (2) can be put in the form

                                     (3)


Solution Part (b)














c)   Plot F(y) as a function of y (e.g. choose A=9, B=10, C=5.)  Assuming the shape of the curve remains the same, sketch what happens as one varies A, B and C.  Using the solution to (b), show the maximum and minimum points in F(y) occur at

                                           (4)


and that y1 and y2 are positive and real if

                                                    (5)

                                                      (6)


Solution Part (c)














d)   Discuss the fact that multiple steady states will occur if

                                               (7)


Solution Part (d)














e)   Show that multiple steady states can exist only if

(a + b) > yo > 1                                                 (8)

and

27 C2 – 18 ABC – A2B2 + 4A3C + 4B3 < 0                           (9)


Solution Part (e)














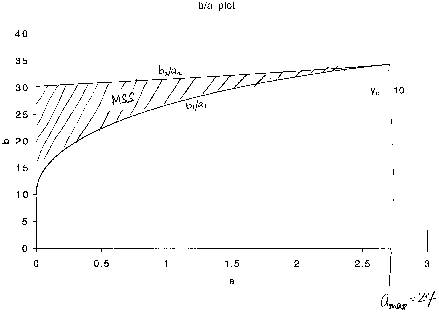
f)    For yo = 10, show the region of multiple steady states on a plot of “b” as a function of “a”. Hint: First use Polymath to find C and a function of B

 

                 [Not to scale or shape]


      What is the minimum value of “a” above which there will always be only one steady state? How will this minimum value of “a” change when yo is changed?

Solution Part (f)













 


g)   Develop a rough map to show


Solution Part (g)













h)   For very high substrate concentrations, what is the maximum number of multiple steady states possible? Show the region of MSS on a plot of b as a function of yo.

                                     Hint: For high CS:   


 

 




 

 

 

 

 

 

 

 

 

 

 

 

 

 

 

 

 

 

 

 

 

 

 

 

 

 

 

 

 

 

 

 

 

 

 

 

 

 

 

 

 

 

 

 

 

 

 

 

 

 

 

 

 

 

 

Solution:


Part a)   CSTR Material Balance


where      

 

 

 


Because this is a cubic equation, three steady states are possible

Back to Part (b)

 

 

 

 

 

 

 

 

 

 

 

 

 

 

 

 

 

 

 

 

 

 

 

 

 

 

 

 

Part b) 

A = yo - 1

B = a + b - yo

c = yoa


Back to Part (c)

 

 

 

 

 

 

 

 

 

 

 

 

 

 

 

 

 

 

 

 

 

Part c)

@ y*

Back to Part (d)

 

 

 

 

 

 

 

 

 

 

 

 

 

 

 

 

 

 

 

 

 Part d)

We need to find the condition when the above equation has three positive roots. Hence, graphically F(y) should be

 

If F(y) is such that  

Case I

Case II


Back to Part (e)

 

 

 

 

 

 

 

 

 

 

 

 

 

 

 

 

 

 

 

 

 

Part e)

Then there is only one real positive real root to F(y) = 0. Let’s assume that the points where

F'(y) = 0

are   and

For F(y) = 0 to have two positive real roots

  > 0   ,   > 0                                                           (1)

and

                          < 0                                                                            (2)

F'(y) = -3 y2 - 2Ay + B = 0

For (1) i.e.   > 0 and   > 0

and

             (3)

For (2) i.e.

Here,

            (4)

Using Maple

Hence (A) and (B) are the conditions for F(y) = 0 to have three positive real roots, i.e., three multiple steady states.


Back to Part (f)

 

 

 

 

 

 

 

 

 

 

 

 

 

 

 

 

 

 

 

 

 

 

 

 

 

 

 

For multiple steady states

                                 (5)

           (6)

          (7)

For condition (1) to hold

            C1 ≤ C ≤ C 2

For yo = 10

            A = 9

 

First compute C1 and C2 for various values of B as shown in Table 1


 

 



Table 1

 

Coordinate Transformation

 

C = ayo

B = a + b – yo

Now

Back to Part (g)

 

 

 

 

 

 

 

 

 

 

 

 

 

 

 

 

 

 

 

 

 

 

 

 

 

Part g)

 

Develop a plot of a versus yo that divides the region into no MSS and MSS. Repeating the above procedure for various values of yo, we will see that amax increases as yo increases.

    

For only one real root for y*

               

    

There will be no multiple steady states if

This is also mentioned in part (f) of the problem statement.   is the minimum value of a above which there will always be only one steady state.

            For yo = 10 ,  amin =

(see b/a plot)

Multiple steady states may occur if

depending on the value of b (= t KI)

At bmin


Back to Part (h)

 

 

 

 

 

 

 

 

 

 

 

 

 

 

 

 

 

 

 

 

 

 

 

 

 

Back to Chapter 9