Series Reactions

Self Test

For the elementary reactions:

with k1=.1 s-1 and k2=.2 s-1 with CAO= 2 mol/dm3. Plot the concentration of B and selectivity of B to C as a function of space time in a CSTR.
Solution

 

 

 

 

 

 
For the elementary reactions:

with k1=.1 s-1 and k2=.2 s-1 with CAO= 2 mol/dm3. Plot the concentration of B and selectivity of B to C as a function of space time in a CSTR.

Solution

CSTR
A. Balance on Species A

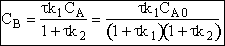
B.Balance on Species B

C.Balance on Species C

The space time,, is the minimum value of V (i.e.) at which there is an acceptable molar flow rate of the desired product B from the CSTR.


Back to Series Reactions