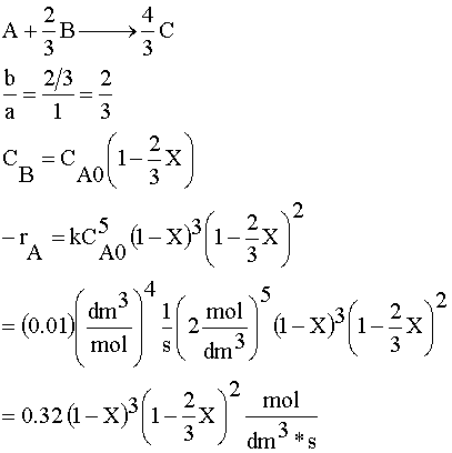
Write the rate law for the elementary liquid phase reactionSolution
only in terms of conversion. The feed to the batch reactor is equal molar A and B with CA0 = 2 mol/dm3 and kA= .01 (dm3/mol)41/s.
|
Write the rate law for the elementary liquid phase reaction
only in terms of conversion. The feed to the batch reactor is equal molar A and B with CA0 = 2 mol/dm3 and kA= .01 (dm3/mol)41/s.
1) Rate Law: -rA=kC3AC2B
2) Stoichiometry:
Species A
Species B
What is ΘB?
Species A is the limiting reactant because the feed is equal molar in A and B, and two moles of B consmes 3 moles of A.
We now have -rA=f(X) and can size reactors or determine batch reaction times.