Stoichiometric Tables

Self Test

Match the following concentration- conversion curves (a-g) with the corresponding reaction and reaction conditions for a flow reactor at constant temperature and pressure.

1) Gas phase, Pure A, CA0=1

2) Gas phase, CA0=CB0=1

3) Liquid phase, Pure A, CA0=1

4) Gas phase, Stoichiometry Feed, CA0=1

5) Gas phase, CA0=CB0=0.5


(a) (b) (c)
(d) (e) (f)
(g)

Solution

 

 

 

 

 

 
Match the following concentration- conversion curves (a-g) with the corresponding reaction and reaction conditions for a flow reactor at constant temperature and pressure.

1) Gas phase, Pure A, CA0=1

2) Gas phase, CA0=CB0=1

3) Liquid phase, Pure A, CA0=1

4) Gas phase, Stoichiometry Feed, CA0=1

5) Gas phase, CA0=CB0=0.5


(a) (b) (c)
(d) (e) (f)
(g)

Solution

1)
Ans(d)
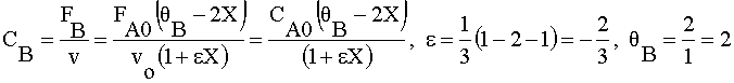
2)
Ans(b)
3)
Ans(a)
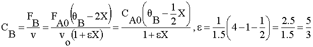
4)
Ans(e)
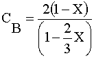
5)
Ans(c)

Stoichiometric Tables