Unsteady state heat transfer


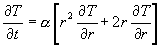
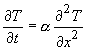
Due to internal resistance (i.e. a high thermal conductivity) the potato is not heating up uniformly. The center of the potato is not heating up as fast as the part just under the skin. This simple fact is something that most people already know or at least could guess. Fairly simple measurements of the temperature at different depths and times also show this to be true. A transient energy balance on a solid with a constant thermal conductivity is:


Click here to see nomenclature list

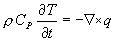
Using Fourier's law:

we arrive at a general expression for the temperature change:

where a is the thermal diffusivity:

If we assume that no heat transport occurs axially we can rewrite the expression in only one dimension:

or for cylinders:

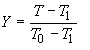
For convenience let us also use a new dimensionless temperature variable Y, which range from 0 to 1, instead of T:

Rewriting the Fourier equation in terms of Y, defining the boundary conditions and then solving the equation yields a complex expression where Y is expressed as a function of three dimensionless groups:


In the X term the time (t) and the thermal diffusivity a is being divided by the radius (r) squared. In short n stands for the "depth", that is the length (x) divided by the total length (x0) or for cylinders and spheres the radius (r). The last term m is the relationship between the thermal conductivity (k) and the overall heat transfer coefficient (h).

The resulting expression is going to be very complex and extremely time consuming to solve analytically. There are however charts (developed by, among others, Gurney and Lurie) available where X is plotted against Y for different values of n and m. The problem in this case however is that we have three unknown variables, h, k and a. But since the thermal diffusivity (a) is a function of the potatos' density (r), heat capacity (Cp) and thermal conductivity (k) and literature[2] values can be found for both a and Cp these three can be reduced to only two, h and k. Assuming a value of k then gives us a value of h. A value of k for fresh potatoes, found in literature, is 0.554 W/m,K. Using this value of k and by plotting X against Y a value of m can be found by comparing the chart with Gurney-Lurie charts from the reference literature.[2,3] Using the temperature data for the center of the potatoes (i.e. n = 1) is an accurate way of doing it because the charts for the centerpoint are usually the most detailed. Once the value of m is known k is easily calculated.

According to the reference literature[3] the heat transfer coefficient for still air should be between 2.8 and 23, which means that 9 is a highly reasonable value.


Click here to go the plots