Chapter 12: Steady-State Nonisothermal Reactor Design: Flow Reactors with Heat Exchange
Derivation
![]()

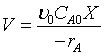
From the CSTR mole balance

we have

Differentiating

![]()


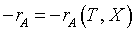
Rearranging


![]()
![]()


For zero order reaction
![]()


For a first order reaction
![]()
![]()



Let’s return to the case of a zero order reaction
At the point of tangency T*


![]()

Q.E.D.