Currently the gas phase reactionSolution
reaction is carried out in a packed bed reactor. For an entering pressure of 20 atm, a pressure drop of 4 atm is realized for 100 kg of catalyst. What pressure drop wouldbe realized if the particle size is reduced by a factor of 4 and the catalyst weight charged to 15 kg. The flow is laminar.
|
Currently the gas phase reaction
reaction is carried out in a packed bed reactor. For an entering pressure of 20 atm, a pressure drop of 4 atm is realized for 100 kg of catalyst. What pressure drop wouldbe realized if the particle size is reduced by a factor of 4 and the catalyst weight charged to 15 kg. The flow is laminar.
![]() |
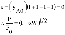
Case 1 |
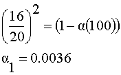
When W=100, P=16 |
![]() |
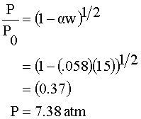
Case 2 |
W= 15 kg |
DP2=1/4 DP1 |
For Laminar Flow |
![]() |
![]() |
Back to Pressure Drop in Reactors