Oscillating Reactions Web Module

 

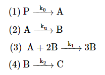
In order to demonstrate the oscillations in the simplest manner possible, we will use the following idealized set of reactions, involving the dissociation of NaIO3 and the subsequent reactions of IO3. We will consider each one as elementary.

   

The main species important to the oscillation in this reaction are NaIO3, IO3-, I-, and I2.To make things easier in writing the mole balances and rate laws, we will say that: P = NaIO3, A = IO3-, B = I-, C = 1/2 I2. The series of reactions can then be written as:

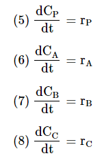
To model this series of reactions, we use our problem solving algorithm. Doing so, our first step is to write the mole balances for the reaction. The reaction is batch, and constant volume and we obtain:

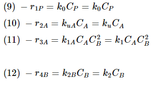
Next, we find the rate law for each reaction.

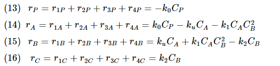
Our third step is stoichiometry...(Note that for every mole of A consumed in Reaction 3, one mole of B is produced. 3-2=1, and so r3B=-r3A)

Finally, we find the net rates of reaction and combine...

Our final batch mole balances look like this:

with k0=0.001 min-1, ku=0.01 min-1 , k1=2.5*109 dm6/mol2/min, and k2= 1 min-1

We can now put the final batch mole balances and the values for the rate constants into an ODE solver, such as Polymath. We will use the following initial concentrations: CPO=0.01 mol/dm3, CAO=2*10-5 mol/dm3 , CBO=1*10-5 mol/dm3, and CCO=0. The Polymath code will look like this: