Self Test - What Two Things are Wrong with This Solution?

Problem
The reaction

is carried out in a constant volume batch reactor. Determine the reaction order and specific reaction rate from the following data.

t (min)0102030
CA(mol/dm3)10.60.40.3

Solution

t CA
0 1
0.4 -(0.6-1.0)/(10-0)=0.04
10 0.6
0.2 -(0.4-0.6)/(20-10)=0.02
20 0.4
0.1 -(0.2-0.4)/(30-20)=0.01
30 0.3

First find

t CA
0 1 0.05
0.04
10 0.6 0.03
0.02
20 0.4 0.015
0.01
30 0.3 0.005

Now plot versus t and it should be a straight line.

The plot is essentially linear, therefore the reaction is zero order. From the slope of the line we find
      k=0.00167 mol/dm3 min.

What two things are wrong with this solution?

Answer

 

 

 

 

 

 
Answer

1) The graphical differentiation of the data is incorrect as is plotted as function of. First, even the data of versus is not plotted correctly. According to this incorrect analysis, it should rise linearly. However, this fact is irrelevant because the x-axis should be time, not. The correct plot is as follows.

t CA
0 1 0.053
10 0.6 0.028
20 0.4 0.017
30 0.3 0.014

2) The plot to determine the reaction order and reate constant is incorrect. Combined mole balance and postulated rate law is

taking the natural log of both sides

Plot versus ln CA or plot versus CA on log-log paper to determine the reaction order. The correct plot on log-log is as follows.

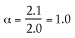
The reaction order is

therefore,

When CA=1.0 mol/dm3 then



Go Back to Finding the Rate Law