
|
Type of Reactor |
Characteristics |
|
Tubular fixed bed Reactor |
Tubular reactor that is paced with solid catalyst particles |
Kinds of Phases Present |
Usage |
Advantages |
Disadvantages |
1. Gas phase/ solid catalyzed 2. Gas-solid rxns |
1. Used primarily in heterogeneous has phase reactions with a catalyst |
1. High conversion per unit mass of catalyst 2. Low operating cost 3. Continuous operation |
1. Undesired thermal gradients may exist 2. Poor temperature control 3. Channeling may occur 4. Unit may be difficult to service and clean |
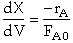
From the PFR module we have

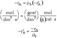
The catalyst weight and rector volume are related by the catalyst bulk density (g/dm3)

The reaction rate per unit volume and the reaction rate per unit catalyst weight are also related by the bulk density, rb

The differential form of the PBR mole balance is

Use the ABOVE differential form of the mole balance on PBRs when there is pressure drop or catalyst decay.
In the absence of pressure drop (i.e. DP º 0) and catalyst decay (a = 1) we can integrate the differential form.
iff
No DP
a=1


PBR Type 1 Home Problem
PBR Type 2 Home Problem
PBR Type 3 Home Problem
PBR Type 5 Home Problem
PBR Type 7 Home Problem
PBR Type 8 Home ProblemFluidized Bed
|
Type of Reactor |
Characteristics |
|
Fluidized Bed Reactor |
Heterogeneous reactions; like a CSTR in that the reactants are well mixed |
Kinds of Phases Present |
Usage |
Advantages |
Disadvantages |
1. Gas-solid 2. Gas-solid catalyzed |
1. Heterogeneous has phase reactions with a catalyst |
1. Good mixing 2. Good uniformity of temperature 3. Catalyst can be continuously regenerated with the use of an auxiliary loop |
1. Bed-fluid mechanics not well known 2. Severe agitation can result in catalyst destruction and dust formation 3. Uncertain scale-up |
