Stoichiometric Tables

Self Test

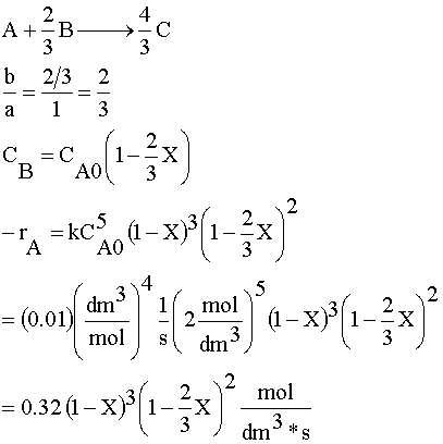
Write the rate law for the elementary liquid phase reaction

only in terms of conversion. The feed to the batch reactor is equal molar A and B with CA0 = 2 mol/dm3 and kA= .01 (dm3/mol)41/s.
Solution

 

 

 

 

 

 
Write the rate law for the elementary liquid phase reaction

only in terms of conversion. The feed to the batch reactor is equal molar A and B with CA0 = 2 mol/dm3 and kA= .01 (dm3/mol)41/s.

Solution

1) Rate Law: -rA=kC3AC2B
2) Stoichiometry:




Back to Stoichiometric Tables