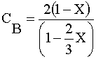
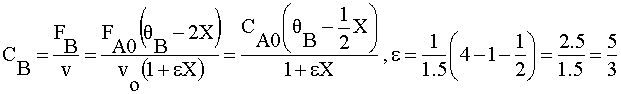
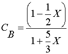
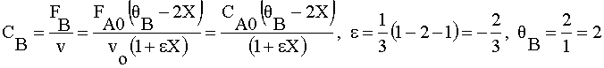
Match the following concentration- conversion curves (a-g) with the corresponding reaction and reaction conditions for a flow reactor at constant temperature and pressure.Solution1) Gas phase, Pure A, CA0=1
2) Gas phase, CA0=CB0=1
3) Liquid phase, Pure A, CA0=1
4) Gas phase, Stoichiometry Feed, CA0=1
5) Gas phase, CA0=CB0=0.5
(a) (b) (c) (d) (e) (f) (g)
|
|
1) Gas phase, Pure A, CA0=1





| (a) | ![]() |
(b) | ![]() |
(c) | ![]() |
| (d) | ![]() |
(e) | ![]() |
(f) | ![]() |
| (g) | ![]() |
1) Ans(d) 2) Ans(b) 3) Ans(a) 4) Ans(e) 5) Ans(c)