Chapter 4 Example

Elementary gas phase reaction in different reactor types.

CSTR

The elementary gas phase reaction

takes place in a CSTR at constant temperature (500 K) and constant pressure (16.4 atm). The feed is equal molar in A and B.

Mole Balance

Rate Law

Stoichiometry

gas phase, isothermal (T = T0), no pressure drop (P = P0)

                                                                   

Why do you suppose CB is a constant, when B is being consumed?

Combine

Evaluate

PFR and Batch Reactors

Elementary Gas Phase Reaction:

PFR

Mole Balance
Rate Law
Stoichiometry gas phase, isothermal (T = T0), no pressure drop (P = P0), CAo=CBo (Q=1), v=vo(1+eX)
Combine
Parameter Evaluation CAo=0.2, v=vo=25 dm3/s, k=10 dm6/mol2 s, e=-0.5, X=0.9
V=227 dm3


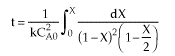
Batch Reactor Constant Volume, V=Voand the pressure changes.
Mole Balance
Rate Law
Stoichiometry
Combine
Parameter EvaluationCAo=0.2, k=10 dm6/mol2 s,



Back to Chapter 4