Multiple Reactions- Gas Phase
Multiple Reactions- Gas Phase


Example: Gas Phase Reaction in a PFR

(1)
(2)


Mole Balances A: wav mp3
B:
C:
D:
Rate Laws (Rxn i)
Species A
For reaction (2):
Species B
Species C
Species D
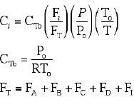
Stoichiometry
Combine
Evaluate Using Polymath
Parameters
Initial Conditions
Use the Polymath ordinary differential equation solver.
 


For a CSTR:

A: B:
C: D:
Total:   FT = FA + FB + FC + FD
 
Five Equations and Five Unknowns
Use the Polymath nonlinear equation solver.
 



Go Back