Lecture 11
TODAY’S LECTURE
Determining the Rate Law from Experimental Data
Integral Method
Graphical Method
Nonlinear Least Regression
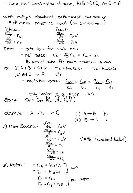
Multiple Reactions
The Four Types
What’s New to Our Algorithm
Reactions in Series
Go Back