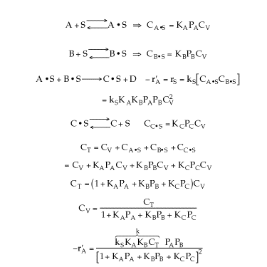
The following data were reported for the reaction A + B goes to C + D
Which of the following mechanisms is consistent with the above data?
Answer:(d)
Recall
-r'A=-r'B=r'C=r'D
Figure (a) suggests

Figure (b) suggests


Figure (c) suggests
-rA is not a function of PD, therefore the reaction is irreversible and D is not on the surface.Figure (d) suggests

Combining all the above

Therefore, (d)is consistent
