|
|
Type 4 Home Problem
Problems that are under-specified and require the student to consult other information
sources.
PART 3 - Type 4 Solution - Polymath
Here is the list of equations:

This is the Polymath output file:

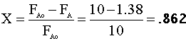
We will use this file to calculate the conversion. The conversion (X) equals the difference between the initial and final flow rates of A divided by the initial flow rate:

Finally, we plot the flow rates of the components along the reactor:

Back to PART 2 of the Solution
CRE Thoughts Ten Types Homogeneous Example 4