![]() |
Background | ![]() |
|
||
If on the other hand the digestion takes place by the animals own enzymes.

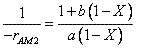
The rate law would be of the form [See Chapter 7 and CD-ROM Summary Notes]

Where k is the specific reaction rate, which includes the total enzyme concentration, and KM is the Michealis-Menten constant. This process is referred to as a enzyme catalytized digestion. This rate law can be expressed in terms of conversion and then used to arrive at the following figure:
| Derive |

We now could ask the question, for a fixed stomach volume, V, what would be the most efficient system to convert the food into products when:
a) the digestion is autocatalytic and only occurs in the stomach
b) the digestion is enzyme catalytized and only occurs in the stomach
c) enzyme catalytized in the stomach followed by autocatalytic in the intestines (hindgut fermentors)
d) autocatalytic in the stomach followed by enzyme catalytized in the intestines (foregut fermentors)
In most cases, where there is a complex stomach, digestion occurs as described by case (c) or (d).
