![]() |
Derivation of -rAM1 | ![]() |
|
||
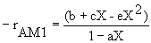
The derivation of -rAM1 as a function of conversion is shown below:

Where, v0 is the entering volumetric flow rate (m3/kg), mAO is the entering mass flow rate (kg/day), CAO is the entering concentration of hippo feed in (kg/m3), ΘB is the ratio of microbes to hippo feed, YM is the yield coefficient (dimensionless) and KM is the Monod constant (kg/m3). Substituting for the concentrations CA and CB:

This function can then be written as:


Where a, b, c and e are all positive constants.
