It should be remembered from derivation that δ represents the change in the number of moles in the gas phase per mole of A reacted. In this example, we consider a gas-phase reaction in which condensation occurs. An example of this class of reactions is
Another example of phase change during reaction is chemical vapor deposition (CVD), a process used to manufacture microelectronic materials. Here, gas-phase reactants are deposited (analogous to condensation) as thin films on solid surfaces. One such reaction is the production of gallium arsenide, which is used in computer chips.
The development of continuous flow CVD reactors where solid wafers and gases continuously pass through the reactor is currently under way. We now will develop our stoichiometric table for reactions with phase change. When one of the products condenses during the course of a reaction, calculation of the change in volume or volumetric flow rate must be undertaken in a slightly different manner. Consider another isothermal reaction:
The vapor pressure of species D at temperature T is Pν. The gas-phase concentration of the product D will increase until the corresponding mole fraction at which condensation begins is reached:
|
||
| At PD=Pν, yD=yD,e and condensation starts |
|
(R4.2-1) |
| Once saturation is reached in the gas phase, every mole of D produced condenses. To account for the effects of condensation on the concentrations of the reacting species, we now write two columns for the number of moles (or molar flow rates) in our stoichiometric table (Table R4-2.1). One column gives the molar flow rates of each species before condensation has begun and the other column gives these quantities after condensation has begun. We use Xcto refer to the conversion of A at which the condensation of D begins. Note that we must rearrange the equation for the total molar flow rate to write it explicitly in terms of FA0, X, and yD,e. We use the equations for the mole fraction of species D to calculate the conversion at which condensation begins. | ||
Table R4-2.1
Stoichiometric Table
for Reaction
with Condensation |
||
| An extra column is added to the table for phase changes. |
|
|
| Example R4-2 Expressing -rA = g(X) for Reactions with Phase Change | ||
| For the reaction just discussed, calculate the conversion at which condensation begins and express the concentration of the reacting species and the rate of reaction as a function of conversion. The reaction is first-order in both species A and species B. The feed contains only A and B in stoichiometric amounts and the reaction is carried out isothermally. The total pressure is 101.3 kPa (1 atm) and species D has a vapor pressure of 16 kPa (120 mmHg) at the isothermal reaction temperature of 300 K. | ||
Solution At the point where condensation begins, X = XC |
||
| From the stoichiometric table, | ||
|
(RE4.2-1) | |
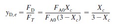
| At saturation, | ||
|
(RE4.2-2) | |
| Equating Equations (RE4.2-1) and (RE4.2-2) gives | ||
|
(RE4.2-3) | |
| Solving for Xc yields | ||
|
||
| Before condensation begins: For X < Xc there is no condensation and one can use the basic equations for δ and ε to calculate the concentrations; that is, | ||
|
(RE4.2-4) | |
|
||
|
(RE4.2-5) | |
|
(RE4.2-6) | |
| Because the temperature and pressure are constant, the total concentration is constant. | ||
|
(RE4.2-7) | |
| The reaction rate is first order in A and in B for X < Xc: | ||
|
(RE4.2-8) | |
| After condensation begins: For X < Xc, the partial pressure of D is equal to the vapor pressure (PD = Pν). The volumetric flow rate is related to the total molar flow rate through the ideal gas equation of state: | ||
| -rA will be a different function of conversion before and after condensation |
|
(RE4.2-9) |
|
(RE4.2-10) | |
| Then, taking the ratio of Equation (RE4.2-9) to Equation (RE4.2-10) and rearranging, we have | ||
|
(RE4.2-11) | |
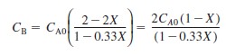
| We must use the column in the stoichiometric table labeled "after condensation" in conjunction with Equation (RE4.2-11) to determine CA and CB. | ||
|
(RE4.2-12) | |
|
(RE4.2-13) | |
| The rate law for X > Xc is | ||
|
(RE4.2-14) | |
| Before condensation, for X < Xc, the gas-phase molar flow rate of D is FD = FA0X. After condensation begins (i.e., X > Xc), the molar flow rate of D in the gas phase is | ||
|
(RE4.2-15) | |
| The liquid molar flow rate of D is | ||
|
||
| Plots of the molar flow rates of species D and the total, together with the concentration of A, can be used if we know specific values of ν0,CA0, and k, to size a variety of combinations of CSTRs and PFRs. | ||