Professional Reference Shelf

The following information is taken from the 4th edition of Elements of Chemical Reaction Engineering, so the equation numbers correspond to those found in that book

R10.2 Hydrogen Adsorption

     
 

Consider the adsorption of a non-reacting gas onto the surface of a catalyst. Adsorption data are frequently reported in the form of adsorption isotherms. Isotherms portray the amount of a gas adsorbed on a solid at different pressures but at one temperature. A typical adsorption isotherm, shown in Figure R10.1-1, is taken from the classic study of Ward, 1 who adsorbed hydrogen on powdered copper at 25°C (see Table R10.1-1). The data appear to be quite precise. Only one point is slightly off a smooth curve, and there is no hysteresis because the points taken while the pressure was being gradually increased lie on the same curve as those taken while the pressure was decreased.

 
     
 

Figure R10.1-1
Adsorption of hydrogen on copper

 
     
  image 10eq46.gif  
     

Postulate models, then see which one(s) fit(s) the data

This isotherm can be used to gain insight into the adsorption process. An equation for the curve in Figure R10.1-1 will be derived, and the derivation will reveal significant properties of the hydrogen-copper system. First, a model system is proposed and then the isotherm obtained from the model is compared with the experimental data shown on the curve. If the curve predicted by the model agrees with the experimental curve, the model may reasonably describe what is occurring physically in the real system. If the predicted curve does not agree with that obtained experimentally, the model fails to match the physical situation in at least one important characteristic, and perhaps more. To describe Ward's data, two models will be postulated--one in which hydrogen is adsorbed as molecules, H 2 , on copper powder, and the other in which hydrogen is adsorbed as atoms, H, instead of molecules.

 
     

Two models:
1. Adsorption as H 2
2. Adsorption as H

The former is called molecular or nondissociated (e.g., H 2 ) adsorption and the latter is called dissociative adsorption. Whether a molecule adsorbs nondissociatively or dissociatively depends on the metal (M) surface. For example, CO undergoes dissociative adsorption on iron and molecular adsorption on nickel.

 
     
  image 10eq47.gif  
     
 

A. Molecular Adsorption


The adsorption of hydrogen molecules will be considered first. Since the hydrogen does not react further after being adsorbed, we need only to consider the adsorption process:

 
     
  image 10eq48.gif

(R10.1-1)

     
image 10eq49.gif

In obtaining a rate law for the rate of adsorption, the reaction in Equation (R10.1-1) can be treated as an elementary reaction. The rate of attachment of the hydrogen molecules to the surface is proportional to the number of collisions that these molecules make with the surface per second. In other words, a specific fraction of the molecules that strike the surface become adsorbed. The collision rate is, in turn, directly proportional to the hydrogen partial pressure,image 10eq60b.gif. Because hydrogen molecules can adsorb only on vacant sites and not on sites already occupied by other hydrogen molecules, the rate of attachment is also directly proportional to the concentration of vacant sites, C. Combining these two facts means that the rate of attachment of hydrogen molecules to the surface is directly proportional to the product of the partial pressure of H and the concentration of vacant sites:

 
     
 

rate of attachment

 
     
 

The rate of detachment of molecules from the surface can be a first-order process; that is, the detachment of hydrogen molecules from the surface is usually directly proportional to the concentration of sites occupied by the molecules,image 10eq51a.gif

 
     
 

rate of detachment

 
     
 

The net rate of adsorption is equal to the rate of molecular attachment to the surface minus the rate of detachment from the surface. If k A and k -A are the constants of proportionality for the attachment and detachment processes, then

 
     
  image 10eq52.gif

(R10.1-2)

     
image 10eq53.gif

( The ratio K A = k A / k - A is the adsorption equilibrium constant. Using it to rearrange Equation (R10.1-2) gives

 
   
image 10eq54.gif

(R10.1-3)

     
10eq55a.gifimage

The parameters k A , k -A , and K A are all functions of temperature, exhibiting an exponential temperature dependence. The forward and reverse specific reaction rates, k A and k -A increase with increasing temperature, while the adsorption equilibrium constant, K A , decreases with increasing temperature. At a single temperature, in this case 25°C, they are, of course, constant in the absence of any catalyst deactivation.

 
     
 

Because hydrogen is the only material adsorbed on the catalyst, the site balance gives

 
     
  image 10eq55.gif

(R10.1-4)

     
image 10eq56.gif

The points plotted in Figure R10.1-1 were taken at equilibrium conditions. The experimental details present in the original work support this fact, and the absence of hysteresis confirms it. At equilibrium, the net rate of adsorption equals zero. Setting the right-hand side of Equation (R10.1-3) equal to zero and solving for the concentration of H 2 adsorbed on the surface, we get

 
     
  imag e10eq57.gif

(R10.1-5)

     
 

Using Equation (R10.1-4) to give C in terms ofand the total number of sites Ct we can solve forin terms of constants and the pressure of hydrogen:

 
     
   
     
 

Rearranging gives us

 
     
  image 10eq59.gif

(R10.1-6)

Langmuir isotherm for adsorption of molecular hydrogen

This equation thus givesas a function of the partial pressure of hydrogen, and so is an equation for the adsorption isotherm. This particular type of isotherm equation is called a Langmuir isotherm. 2

A quick look shows that this equation shares many properties with the curve in Figure R10.1-1. As was shown in Chapter 5, one method of checking whether a model predicts the behavior of some experimental data is to linearize the model's equation and then plot the indicated variables against one another. For example, Equation (R10.1-6) may be arranged in the form

 
   
  image 10eq60.gif

(R10.1-7)

     
 

and the linearity of a plot ofas a function ofwill determine if the data conform to a Langmuir single-site isotherm. The data in Figure R10.1-1 are replotted in Figure R10.1-2 in the form suggested by Equation (R10.1-7). The data indicate a slight but definite curvature. Thus there is a significant question as to whether these data really conform to a model of hydrogen adsorbing as molecules.

 
     
 

B. Dissociative Adsorption


Next, the isotherm for hydrogen adsorbing as atoms is derived:

 
     
  image 10eq61.gif  
     
 

When the hydrogen molecule dissociates upon adsorption, it is referred to as the dissociative adsorption of hydrogen. As in the case of molecular adsorption, the rate of adsorption here is proportional to the pressure of hydrogen in the system, because this rate governs the number of gaseous collisions with the surface. For a molecule to dissociate as it adsorbs, however, two adjacent vacant active sites are required rather than the single site needed when a substance adsorbs in its molecular form. The probability of two vacant sites occurring adjacent to one another is proportional to the square of the concentration of vacant sites. These two observations mean that the rate of adsorption is proportional to the product of the hydrogen partial pressure and the square of the vacant site concentration,image 10eq62a.gif.

 
     
 

For desorption to occur, two occupied sites must be adjacent, meaning that the rate of desorption is proportional to the square of the occupied-site concentration, ()2. The net rate of adsorption can then be expressed as

 
     
  image 10eq62.gif

(R10.10-8)

     

On this particular
catalyst the
data show that
hydrogen does not
adsorb as molecules
(H 2 )

Figure R10.1-2
Adsorption of molecular hydrogen

 
 



Factoring out k A , the equation for dissociative adsorption is

 
     

Rate of
dissociative
adsorption

image 10eq63.gif  
     
 

where

 
     
  image 10eq64.gif  
     
 

At equilibrium, r AD = 0, and

 
     
  image 10eq66.gif  
     
 

or

 
     
  image 10eq65.gif

(R10.1-9)

     
 

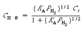
From Equation (R10.1-1),

 
     
  imag e10eq117.gif  
     
 

This value may be substituted into Equation (R10.1-9) to give an expression that can be solved for. The resulting isotherm equation is

 
     

Langmuir isotherm for adsorption as atomic hydrogen

image 10eq68.gif

(R10.1-10)

 

Taking the inverse of both sides of the equation, and then multiplying through byimage 10eq68a.gif, yields

 
     
  image 10eq69.gif

(R10.1-11)

     
 

This equation is the linearized Langmuir isotherm for dissociative adsorption. It says that if the hydrogen is dissociatively adsorbed on the copper, a straight line should result whenimage 10eq69a.gifis plotted as a function of.

 
     

The dissociative
adsorption
of H 2 model
fits the
experimental data
for this catalyst.

The data in Figure R10.1-1 are replotted in Figure R10.1-3 in the form suggested by Equation (R10.1-11). An excellent straight line is obtained, giving support to the postulate of hydrogen being dissociatively adsorbed on the copper powder. A comparison of the results of the models indicates that hydrogen is adsorbed on the copper as atoms rather than as molecules. Hydrogen-deuterium tracer studies have confirmed this interpretation. Some comments seem deserved here. The data presented seemed very precise. If they had not been so, and there had been significant scatter, it would have been impossible to distinguish between the two models. The curvature in Figure R10.1-2 is slight, so the difference between the two plots is somewhat subtle. A discerning eye is necessary to distinguish between the two mechanisms in this situation. This subtle difference is one reason why this type of agreement between a model and the behavior of experimental data usually requires supporting spectroscopic and tracer experiments.




Figure R10.1-3
Dissociative adsorption of hydrogen.