|
There are two types of mass transport are important in fluidized-bed operations. The first is the transport between gas and solid. In some situations this can affect the analysis of fluidized-bed behavior significantly, and in others it might not enter the calculations at all. It will be seen that the treatment of this type of transport is quite similar to gas-solid mass transfer in other types of operations. |
|||
Gas-Solid Mass Transfer
|
|||
|
|
(CD12-3.25) | ||
| The relative velocity between the solid particle and the gas used in calculating the Reynolds number will be taken as u 0 . In the emulsion phase, the equation would be one that applied to fixed-bed operation with a porosity in the bed equal to and a velocity of |
|||
|
|
(CD12-3.26) | ||
![]() Figure CD12-3.5 |
||||
| Mass transfer coefficients obtained from these relationships may then be combined with mass transfer among the various phases in the fluidized bed to yield the overall behavior with regard to the transport of mass. Owing to the small particle sizes and high surface area per volume of solids used in fluidized beds, the mass transfer from the gas to the solid surface is usually quite rapid, and consequently, it seldom limits the reaction. | ||||
Mass Transfer between the Fluidized-Bed PhasesFor gas interchange between the bubble and the cloud, Kunii and Levenspiel 22 defined the mass transfer coefficient K bc(s-1) in the following manner: |
||||
|
|
(CD12-3.27) | |||
![]() Figure CD12-3.6 |
||||
Where C Ab and C Ac are the concentration of A in the bubble and cloud, respectively (mol/dm 3 ), and W Abc represents the number of moles of A transferred from the bubble to the cloud per unit time per unit volume of bubble (mol/ dm 3 s). The concept of basing all mass transfer (and later, all reaction) on the bubble volume proves to simplify the calculations markedly. For the products (e.g., B in A B) the rate of transfer into the bubble from the cloud is given by a similar equation: |
||||
| W Bcb =K cb (C Bc -C Bb ) | (CD12-3.28) | |||
| The mass transfer coefficient K bc can also be thought of as an exchange volume q between the bubble and the cloud: | ||||
| W Bcb =q b C Ab -q c C Ac =q 0 (C Ab -C Ac ) | (CD12-3.29) | |||
| where q b is the volume of gas flowing from the bubble to the cloud per unit time per unit volume of bubble, q c the volume of gas flowing from the cloud to the bubble per unit time per unit volume of bubble, and q 0 the exchange volume between the bubble and cloud per unit time per unit volume of bubble (i.e., K bc ; q 0 =q c =q). Using Davidson's expression for gas transfer between the bubble and the cloud, and then basing it on the volume of the bubble, Kunii and Levenspiel 23 obtained this equation for evaluating K bc |
||||
|
|
(CD12-3.30) | ||
| where |
||||
| Kbc= Kcb | ||||
|
and a typical value of K bc is 2 s -1 | |||
| Similarly, these authors defined a mass transfer coefficient for gas interchange between the cloud and the emulsion: | ||||
|
|
(CD12-3.31) | |||
| where W Ace is the moles of A transferred from the cloud to the emulsion per unit time per unit volume of bubble. Note that even though this mass transfer does not involve the bubble directly, it is still based on the bubble volume. Using Higbie's penetration theory and his analogy for mass transfer from a bubble to a liquid, Kunii and Levenspiel 24 developed an equation for evaluating K ce : |
||||
|
|
(CD12-3.32) | ||
|
|
where u b is the velocity of the bubble rise in cm /s and the other symbols are as defined below Equation (CD12-3.30). A typical value of K ce is 1 s -1 . K ce can also be thought of as the exchange volume between the cloud and the emulsion. With knowledge of the mass transfer coefficients, the amount of gas interchange between the phases of a fluidized bed can be calculated and combined to predict the overall mass transfer behavior or reaction behavior of a fluidized-bed process. |
|||
R12.3-D Reaction in a Fluidized Bed |
 : | |||
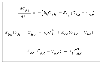
|   |   | In order to use the Kunii-Levenspiel model to predict reaction rates in a fluidized-bed reactor, the reaction-rate law for the heterogeneous reaction per gram (or other fixed unit) of solid must be known. Then the reaction rate in the bubble phase, the cloud, and the emulsion phase, all per unit of bubble volume, can be calculated. Assuming that these reaction rates are known, the overall reaction rate can be evaluated using the mass transfer relationships presented in the preceding section. All this is accomplished in the following fashion. We consider an nth-order constant-volume catalytic reaction. In the bubble phase | ||
|
|
||||
| in which the reaction rate is defined per unit volume of bubble. In the cloud, | ||||
|
|
|||
| and similarly in the emulsion, | ||||
|
|
||||
| where k e , k c , and k b are the specific reaction rates in the emulsion, cloud, and bubble, respectively. In the latter two equations, the reaction rate is also defined per unit volume of bubble. | ||||
Mole Balance on the Bubble, Cloud, and Emulsion PhasesMaterial balances will be written over an incremental height |
||||
![]() Figure CD12-3.7 |
||||
Balance on the Bubble Phase
The amount of A entering at |
||||
|
|
||||
A similar expression can be written for the amount of A leaving in the bubble phase in flow at + |
||||
|
|
||||
| Dividing by |
||||
|
||||
| A balance on A in the bubble phase for steady-state operation in section |
||||
|
|
(CD12-3.33) | ||
Balance on the Cloud Phase
In the material balance on the clouds and wakes in section |
||||
|
|
(CD12-3.34) | ||
Balance on the Emulsion Phase
The fraction of the bed in the emulsion phase is 1 - |
||||
|
|
(CD12-3.35) | ||
The three material balances thus result in three coupled ordinary differential equations, with one independent variable ( ) and three dependent variables (C Ab , C Ac , C Ae ). These equations can be solved numerically. The Kunii-Levenspiel model simplifies these still further by assuming that the derivative terms on the left-hand side of the material balances on the cloud and emulsion are negligible compared with the terms on the right-hand side. Using this assumption and letting t = /u b (i.e., the time the bubble has spent in the bed), the three equations take the form |
||||
|
|
(CD12-3.36) (CD12-3.37) (CD12-3.38) |
||
|
one differential equation and two algebraic equations. In all equations, |
|||
Partitioning of the Catalyst |
||||
| To solve these equations, it is necessary to have values of k b , k c , and k e . Three new parameters are defined: | ||||
|
||||
| First, the specific reaction rate of solid catalyst, k cat must be known. It is normally determined from laboratory experiments. The term k cat |
||||
|
|
(CD12-3.39) | ||
| The term k' is the specific reaction rate per weight of catalyst. | ||||
|
The value of b ranges between 0.001 and 0.01, with 0.005 being the more typical number. The volume fraction of catalyst in the clouds and wakes is 1 - |
|||
|
|
||||
so the expression for c is |
||||
|
|
(CD12-3.40) | ||
It turns out that the value of is normally far from insignificant in this expression for c and represents a weakness in the model because there does not yet exist a reliable method for determining . The typical values of c range from 0.3 to 0.4. The value of c can be quite incorrect on occasion, in particular, a value of = 1. The volume fraction of the solids in the emulsion phase is again 1 - |
||||
|
|
||||
so the expression for e is |
||||
|
|
(CD12-3.41) | ||
Typical values of b , c , and e are 0.005, 0.2, and 1.5, respectively. Using the expressions given above, the three balance equations become |
||||
|
![]() |
(CD12-3.42)
(CD12-3.43) (CD12-3.44) |
||
R12.3-E Solution to the Balance Equations for a First-Order Reaction |
|||
| If the reaction is first order, CAc and C Ae can be eliminated using the two algebraic equations, and the differential equation can be solved analytically for C Ab as a function of t. An analogous situation would exist if the reaction were zero. Except for these two situations, solutions to these two equations must be obtained numerically. For first-order reactions we can combine the three balance equations into one differential equation which we can then solve to determine the conversion achieved in a fluidized-bed reactor. In addition, the closed-form solution allows us to examine certain limiting situations to determine which operating parameters are most influential in dictating bed performance. Here we can pose and ask a number of what-if questions. To arrive at our fluidized-bed design equation for a first-order reaction, we simply express the concentration of A in both the emulsion C Ae and in the cloud C Ac in terms of the bubble concentration C Ab . First we use the emulsion balance |
|||
|
|
(CD12-3.45) | ||
| to solve for C Ae in terms of C Ac . Rearranging Equation (CD12-3.45) for a first-order reaction (n = 1), we obtain | |||
|
(CD12-3.46) | ||
| We now use this equation to substitute for C Ae in the cloud balance: | |||
|
|
|||
| Solving for C Ac in terms of C Ab gives | |||
|
|
(CD12-3.47) | ||
| We now substitute for CAcin the bubble balance: | |||
|
|
|||
| Rearranging yields | |||
|
| After some further rearrangement we obtain | |||
|
|
(CD12-3.48) (CD12-3.49) (CD12-3.50) |
||
| Expressing C Ab as a function of X, that is, | ||||
|
|
(CD12-3.51) | |||
| we can substitute to obtain | ||||
|
|
||||
| and integrating yields | ||||
|
|
|||
| The height of the bed necessary to achieve this conversion is | ||||
| h = tu b | ||||
|
(CD12-3.52) | |||
| The corresponding catalyst weight is (CD12-76) | ||||
|
(CD12-3.53) (CD12-3.54) |
|||
ProcedureUnfortunately, one must use an iterative procedure to calculate the catalyst weight. This predicament is a consequence of the fact that both K R and u b depend on the bubble diameter, which depends on the bed height, Equation (CD12-3.52). Consequently, one should check the estimated average bubble diameter using the value of h calculated from Equation (CD12-3.52). A flowchart outlining this procedure is shown in Figure CD12-3.8. However, either POLYMATH or MATLAB™ can be used to eliminate some of the assumptions used in arriving at Figure CD 12-3.8. Specifically, one could use the equation for bubble size as a function of height (i.e., Equation CD 12-3.15) directly in the equations for the transport coefficients (Equations CD 12-3.30 and CD 12-3.32) and them use an ODE solver rather than evaluating the bubble size at the midpoint in the column. One could also couple the unsteady state balances on the cloud and emulsion phases (Equations CD 12-3.34 and CD 12-3.35) to the mole balance on the bubble rather than neglecting the transient terms in these balances. |
||||
![]() Figure CD12-3.8 |
||||
| Example CD12-4 Catalytic Oxidation of Ammonia |
||||
* This material was developed from notes by Dr. Lee F. Brown and H. Scott Fogler.
Back to top
Next - Limiting Situations