The Integrating Factor - What? Why? How?

Problem - You want to integrate
(1)
However, that f(z)y term really messes things up! If you only had an expression of the form
(2)
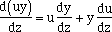
things would be much easier, then you could integrate with respect to z and find y(z). How can you combine f(z) and y to get this simplification? First note that is of the form of the derivative of a product, so examine first the product y u, where u is some function of f(z) you still have to define. Recall
(3)
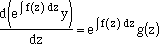
That's looking close to the left hand side of equation (1), but there is a "u" in front of the dy/dz term, and a du/dz expression where f(z) is. If you had a form of u such that du/dz = u f(z), then you could manipulate equation (3):
(4)
where the term in brackets is the left hand side of equation (1). You need du/dz = u f(z). Recall
(5)
If you define and f(z) = dq/dz (i.e. , then
(6)
This satisfies the condition that du/dz=u f(z). That's the ezpression you needed! Therefore, , and substituting into equation (4),
(7)
where the term in brackets is the left hand side of equation (1).

CONCLUSION: If your problem is of the form

(1)
you can multiply both sides of the equation by the
(which you should be able to evaluate, since you know f(z)), to yield
(9)
or, substituting from equation (7)
(10)
so that
(11)
(12)
EXAMPLE
f(t)=k2, so
From equation (12), the solution is then
The constant can be obtained from the intitial condition that at t=0, CB=0;

 

Return