Chapter 5

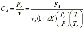
Derivation for Gas Phase Reaction:



Back to Chapter 5