Chapter 5 Self Test

Pressure and Reaction Orders

A. Which of the following reaction orders is most affected by presure drop?

a) zero order
b) first order
c) third order
d) out of order

Solution A

B. For negative reaction orders (e.g.n=-1), pressure drop will:

a) increase the conversion
b) decrease the conversion
c) not affect the conversion
d) produce negative conversion

over and above what it would be if there were no pressure drop.

Solution B

 

 

 

 

 

 

 

 

 

A. Which of the following reaction orders is most affected by presure drop?

a) zero order
b) first order
c) third order
d) out of order

Solution

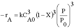
(A)

zero order

(B)

first order

(C)

third order

Answer (C)

 

Back to question

Solution B

Back to Chapter


 

 

 

 

 

 

 

 

 

B. For negative reaction orders (e.g.n=-1), pressure drop will:

a) increase the conversion
b) decrease the conversion
c) not affect the conversion
d) produce negative conversion

over and above what it would be if there were no pressure drop.

Solution

As the pressure decreases, the rate increases over that which it would be without the pressure drop. Consequently the conversion will increase over that which it would be without the pressure drop.

Ans. (a).

 

Back to Chapter 5