Currently the gas phase reaction
![]()
is carried out in a packed bed reactor. For an entering pressure of 20 atm, a pressure drop of 4 atm is realized for 100 kg of catalyst. What pressure drop would be realized if the particle size is reduced by a factor of 4 and the catalyst weight charged to 15 kg. The flow is laminar.
Hint 1: What is the pressure drop parameter alpha?
|
|

Start with the differential equation and realize that epsilon is zero because the same number of moles are formed as are reacted.

![]()
Now integrate both sides and evaluate the constant. Remember that at W = 0, P = P0.
![]()



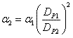
Now we can evaluate
1 and
2.
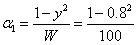
![]()
![]()
