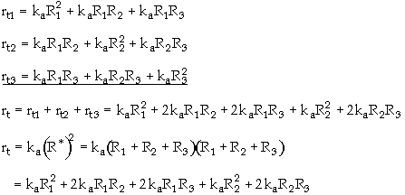
ka are defined wrt reactant. The net rate of termination of all radicals is
ka are defined wrt reactant.
The net rate of termination of all radicals is
Back to Chapter 9