Chapter 9

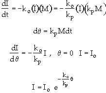
Derive: I

Back to Chapter 9