Chapter 9

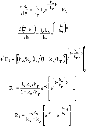
Derive: R1

Back to Chapter 9