Chapter 9

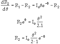
Derive: R2

Back to Chapter 9